壹搜图片
网盘
图片
视频
音乐
网页
源码
软件
Scholar
学术
书籍
图片搜索
找到"
pytorch二分类loss
"相关图片 395条
二分类和多分类问题中的损失函数(Loss Function)总结与比较 - iioSnail
PyTorch 神经网络- PyTorch官方教程中文版
Image for Custom Loss Function
Black Screen with Pink and Green Graph
Windows10でPyTorchをインストールしてVSCodeで使う
pytorch transforms
pytorch学习笔记
pytorch学习笔记第九课多分类问题crossentropyloss和softmax
[工具] pytorch loss functioin - 知乎
ML1.1 pytorch 实现简单的全连接神经网络– PP's Blog
Image for Model Training Using PyTorch Loss Function
Black Ipad with Stock Market on Screen on Wooden Table
pytorch 二 dataset 与 dataloader
pytorch函数分类,速览!
[源码解析] pytorch 分布式(2) —– dataparallel(上)
【Deep learning】——一文知torch分类任务的交叉熵Loss(多分类、多标签任务) – 源码巴士
PyTorch 图像分类器- PyTorch官方教程中文版
Image for Data Preprocessing in PyTorch
Close-Up Photo of an Unfinished Jigsaw Puzzle
PyTorch Recipes: A Problem-Solution Approach
pytorch目标检测 faster r cnn 理论
算法需要掌握: 🌟 神经网络:包括多层感知机(mlp),适用于图像分类
磊磊的pytorch学习笔记(15)loss及其梯度
pytorch:二分类时的loss选择 - 戴墨镜的长颈鹿 - 博客园
生成对抗示例- PyTorch官方教程中文版
Image for Categorical Cross-Entropy Loss Function
Computer Screen Displaying a Graph
pytorch
pytorch图片识别步骤 午休时间,学了一招新模型,如何
tensorflow和pytorch框架绘制loss和accuracy曲线
【Pytorch】深度学习之损失函数
常见的梯度下降算法- Ji-Huan Guan
Image for Defining The PyTorch Loss Function And Optimizer
Close-up of a Burning Piece of Paper with a Word Written on It
Python代码阅读(第17篇):列表元素按位合并
pytorch 2
【简历黄金项目集】pytorch实战计算机视觉:一次性搞定分类,检测,分割
pytorch-01
【图像分类】记录一个天坑…
PyTorch深度学习—— 构建于AutoDL,也有可能是恒源云- 三二一的一的二
Image for PyTorch Combine Loss Function
Close-up of a Graph in a Screen
#data #pipelinedata #analytics | Roni Caruso
pytorch
pytorch 神经网络基础
pytorch二分类loss zhuanlan.zhihu.com
PyTorch中二分类与多分类的CrossE…
对比学习在有赞的应用
PyTorch Loss Functions
Magnifying Glass and Documents
pytorch目标检测 faster r cnn 理论
pytorch分类神经网5步
4271a8c6eb17367351a414abfcd4ec58.png
深度学习Pytorch-损失函数&优化算法总结 - 知乎
使用CNN进行回归预测代码(Python版-使用pytorch框架) - 工具箱 ...
Image for Mean Absolute Error Loss Function
Coins scattered near smartphone with financial charts on screen
[Tech With Tim] Tensorflow 2.0 Tutorial - What is an Embedding Layer? Text Classification P2
pytorch transform
loss curves of (a) alexnet, (c) vgg13, and (e) squeezenet and
pytorch实现logistic回归二分类
使用PyTorch在MNIST数据集上构建并训练多分类模型-开发者社区-阿里云
空间变换器网络- PyTorch官方教程中文版
Image for Geometric Loss Function
Macbook Pro on the White Table
pytorch
2-1 初识pytorch基本框架
img
pytorch 多分类中的损失函数 - 宋桓公 - 博客园
微调基于torchvision 0.3的目标检测模型- PyTorch官方教程中文版
PyTorch Loss Functions
Aerial View of Scenic Shifen Waterfall in Taiwan
Probability Distributions
pytorch 二分类交叉熵损失函数
pytorch之旅二
dataloader实现 pytorch 分布式 pytorch中dataloader
如何确认深度学习模型的loss已经收敛好了? - 知乎
机器学习理论】为什么机器学习会训练失败– 你好,欢迎来到
Image for Huber Loss Function
A Close-Up Shot of Commemorative Dash Coins
Fuzzy Clustering
pytorch0.4.0 attributeerror module torch has no attribute flatten
pytorch损失函数 - 贝壳里的星海 - 博客园
PyTorch深度学习—— 构建于AutoDL,也有可能是恒源云- 三二一的一的二
Image for PyTorch Lightning Loss Functions Syntax
Stock Exchange Charts
✨ Introducing Plotly Express ✨
pytorch transform
pytorch回归loss pytorch回归预 …
使用字符级RNN进行名字分类- PyTorch官方教程中文版
Image for Generating Dataset For PyTorch Loss Functions
Purple Flowers and Foliage in Nanjing Garden
pytorch学习笔记 七 loss及其梯度
PyTorch-Loss Function and BP-CSDN博客
神经网络模型(有监督) - sklearn 官方文档中文版(0.22.1)
Image for Binary Cross-Entropy Loss Function
Yellow Paper With Red and White Pen
Uncertainty metric builds confidence in machine learned-chemistry
pytorch中的seq2seq的人们国籍分类的示例
Pytorch之loss(损失函数)_pytorch loss-CSDN博客
使用CNN进行模式识别(分类)代码(Python版) - 工具箱文档 ...
Image for Cross-Entropy Loss Function
Black and Green Circuit Board
pytorch目标检测 faster r cnn 理论
Pytorch之loss(损失函数)_pytorch loss-CSDN博客
python-在Pytorch中使用Tensorboard可视化训练过程_游戏逆向|游戏 ...
Close-up Portrait of a Majestic Hawk in Nature
Orange Pi Zero Erste Schritte, GPIO, I2C, SPI
pytorch深度学习 多分类问题 mnist训练实例 b站刘二大人p9学习笔记
pytorch 二分类 pytorch二分类准确率曲线_mob64c…
体验升级而非颠覆,API成本直降75%:DeepSeek-V3.2-Exp评测丨302 ...
Image for Importing Libraries in PyTorch
Computer C++ Code
Confusion Matrix, Precision, and Recall Explained - KDnuggets
pytorch学习 7 常用损失函数 crossentropyloss, bceloss, bcewithlogitsloss, l1loss, mseloss
pytorch---------loss及其梯度_pytorch loss对y的梯度-CSDN博客
ML1.4 pytorch 实现极简版GPT – PP's Blog
Image for Dataset Splitting in PyTorch Loss Functions Example
Full Frame Shot of Abstract Pattern
Josep Ferrer (@rfeers) on X
初始pytorch 八 自编码器auto encoders
【损失函数】(二) L2Loss原理 & pytorch代码解析_l2 loss-CSDN博客
使用CNN进行模式识别(分类)代码(Python版) - 工具箱文档 ...
Image for Defining The Model Architecture in Loss Functions in PyTorch
Black Screen of a Monitor
pytorch lesson10 二分类交叉熵损失函数及调用 多分类交叉熵损失函数及调用
PyTorch 中的损失函数 - 知乎
使用CNN进行模式识别(分类)代码(Python版) - 工具箱文档 ...
Image for Mean Squared Error Loss Function
pytorch tensor
pytorch 查看loss值 pytorch loss图_误 …
PyTorch深度学习,全流程医学影像端到端判别实战项目(2023新版 ...
pytorch深度学习 多分类问题 mnist训练实例 b站刘二大人p9学习笔记
绘制pytorch的loss曲线 pytorch focal loss_mob6454cc6caa80的技术博客_51CTO …
唐宇迪深度学习-行人重识别实战(完结无密) - 独角兽资源站
Udacity PyTorch Challengers
pytorch目标检测 faster r cnn 理论
二分类任务的loss有4种写法 - 知乎
PyTorch深度学习—— 构建于AutoDL,也有可能是恒源云- 三二一的一的二
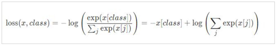
normalized_softmax_loss_equation
pytorch mobile android 2
二分类任务的loss有4种写法 - 知乎
深度学习之视频人脸识别系列三:人脸表征– TensorFlowNews
pytorch学习九 损失函数
pytorch 查看loss值 pytorch loss图_误会一场的技术博客_51CTO博客
python-在Pytorch中使用Tensorboard可视化训练过程_游戏逆向|游戏 ...
pytorch 神经网络套路 实现一维输入特征的二分类
寻找更好的分类模型loss_cc-loss-CSDN博客
对比学习在有赞的应用
PyTorch学习笔记——多分类交叉熵损失函数
pytorch实战完整项目学习 猫狗二分类
二分类任务的loss有4种写法 - 知乎
InsightFace: 用OneFlow轻松实现超大规模人脸识别模_OneFlow一流 ...
Pytorch学习笔记(一):代码结构布局
软件工程第二次作业 pytorch 基础练习 以及 螺旋数据分类
pytorch实现二分类(单隐藏层的神经网络)_pytorch二分类神经 …
磐创AIPyTorch 中文手册- Fashion MNIST 图像分类- 磐创AI
TensorFlow-v2.15
神经网络学习 一 pytorch
loss越来越大_【DL知识拾贝】Pytorch版本第二篇:损失函数大汇总-CSDN博客
ML1.4 pytorch 实现极简版GPT – PP's Blog
Pytorch学习笔记(二):载入数据
pytorch
【小白入坑篇】分类Loss函数 - 知乎
对比学习在有赞的应用
large_margin_softmax_loss_equation1
软件工程第二次作业 pytorch 基础练习 以及 螺旋数据分类
Pytorch 第三回:二分类逻辑回归模型(下)…
PyTorch深度学习开发医学影像端到端判别项目(完整版11章)_泓优网络
【NLP修炼系列之分类loss】二分类、多分类与多标签分类loss损失函数
pytorch学习笔记 二分类交叉熵损失函数
Pytorch实现二分类器_torch 二分类-CSDN博客
知识库检索匹配的服务化实践
Pytorch学习笔记(三):模型定义
pytorch深度学习 损失函数 二
Pytorch Loss function损失函数-CSDN博客
PyTorch深度学习—— 构建于AutoDL,也有可能是恒源云- 三二一的一的二
扫码加入开发者社群
七 详解pytorch中的交叉熵损失函数nn.bceloss nn.bcelosswithlogits ,二分类任务如何定义损失函数,如何计算准确率 如何预测
实战 二分分类器(python + pytorch)_二分类器-CSDN博客
Pytorch深度学习入门与实战,新版Pytorch零基础教程- VIPC6资源网
large_margin_softmax_loss_equation2
关于anaconda opencv pycharm pytorch
【Pytorch】模型训练套路2_测试集的loss怎么计算-CSDN博客
PyTorch深度学习开发医学影像端到端判别项目「完结无密」 - 优库 ...
论文加源码 基于deap和mabhob数据集的二分类脑电情绪识别 pytorch深度神经网络 dnn 和卷积神经网络 cnn
强化学习- PyTorch官方教程中文版
软件工程第二次作业 pytorch 基础练习 以及 螺旋数据分类
3d-复现PointNet++(语义分割网络):Windows + PyTorch + S3DIS ...
Pytorch学习笔记(六):学习率
anaconda3.5.2 pytorch pytorch cpu 1.1.0 torchvision cpu 0.3.0
ML1.2 pytorch 实现bigram 模型– PP's Blog
Example dataset [1] for binary image classification.
论文加源码 基于deap和mabhob数据集的二分类脑电情绪识别 pytorch深度神经网络 dnn 和卷积神经网络 cnn
全连接神经网络的垃圾邮件分类课程论文+Python源码及数据-毕业 ...
在这里插入图片描述
七 详解pytorch中的交叉熵损失函数nn.bceloss nn.bcelosswithlogits ,二分类任务如何定义损失函数,如何计算准确率 如何预测
PyTorch从入门到实践(套装共6册) -- 陈云,等-京东阅读-在线阅读
data_science_project
pytorch 损失函数 pytorch深度学习 损失函数 二
PyTorch深度学习实战:从新手小白到数据科学家-- 张敏-京东阅读 ...
论文加源码 基于deap和mabhob数据集的二分类脑电情绪识别 pytorch深度神经网络 dnn 和卷积神经网络 cnn 代码解析
PyTorch深度学习,全流程医学影像端到端判别实战项目(2023新版 ...
Binary Cross Entropy Loss
pytorch学习九 损失函数
使用CNN进行回归预测代码(Python版-使用pytorch框架) - 工具箱 ...
论文加源码 基于deap和mabhob数据集的二分类脑电情绪识别 pytorch深度神经网络 dnn 和卷积神经网络 cnn
PyTorch深度学习,全流程医学影像端到端判别实战项目(2023新版 ...
Splitting the data into training and testing datasets (Inspired by scikit-learn)
动手学深度学习v2.0 pytorch 30. 第二部分完结竞赛 图片分类 及 38. 树叶分类结果 及 43. 树叶分类竞赛技术总结
AI « bang's blog
在这里插入图片描述
vggnet网络pytorch实战.pdf
Pytorch入门(2) - 快速上手模型创建- 深度学习入门- 思语视觉BBS
softmax
pytorch transforms csdn
2025焦点计划- JoTang
Class distribution of sample dataset for image classification plotted with seaborn
pytorch live 5分钟制作人工智能app
PyTorch深度学习—— 构建于AutoDL,也有可能是恒源云- 三二一的一的二
在这里插入图片描述
篮网21分大逆转结束四连败 重回东部第二
Pytorch深度学习实现线性回归(Linear Regression) - 陈华编程
contrastive_loss_similarity_equation
使用CNN进行模式识别(分类)代码(Python版) - 工具箱文档 ...
Example dataset [1] for binary image classification. Insert your data here.
PyTorch深度学习—— 构建于AutoDL,也有可能是恒源云- 三二一的一的二
softmax exponentiation
python-在Pytorch中使用Tensorboard可视化训练过程_游戏逆向|游戏 ...
GitHub
深度学习与PyTorch入门实战教程- 咸鱼资源
Splitting the training data again into training and validation (Inspired by scikit-learn)
bang's blog
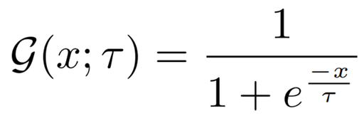
Sigmoid 曲线
Pytorch深度学习入门与实战,新版Pytorch零基础教程- VIPC6资源网
Kullback-Leibler Divergence loss
深度学习之PyTorch实战计算机视觉-- 唐进民-京东阅读-在线阅读
nn.CrossEntropyLoss() nn.NLLLoss()多分类损失函数计算过程详解_默认参数
PyTorch深度学习实战(美)伊莱·史蒂文斯2022P446_9787115577672 ...
深度学习——理论、方法与PyTorch实践-- 翟中华,孟翔宇-京东阅读 ...
multi_similarity_loss_equation
模型剪枝综述
Splitting the training data again into training and validation (Inspired by scikit-learn)
PyTorch入门到进阶,实战计算机视觉与自然语言处理-92资源站-IT ...
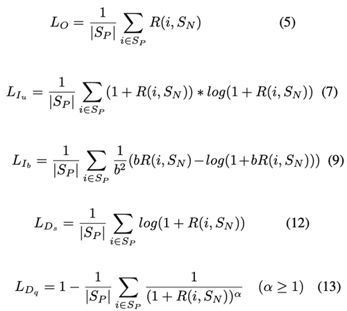
Loss function
Python人工智能20个小时玩转NLP自然语言处理- 咸鱼资源
nn.CrossEntropyLoss() nn.NLLLoss()多分类损失函数计算过程详解_默认参数_02
体验升级而非颠覆,API成本直降75%:DeepSeek-V3.2-Exp评测丨302 ...
Augmented training dataset
TextGrad - AI平台| AI工具集|AI资讯站
PyTorch深度学习开发医学影像端到端判别项目(完整版11章)_泓优网络
contrastive_loss_equation
AI « bang's blog
CSDN学院:深度学习与PyTorch入门实战教程,龙良曲主讲,全套下载 ...
Softmax和交叉熵的深度解析和Python实现- 宽客在线
Expectation vs. reality: In practice, only a few people train neural networks from scratch for image classification
NER项目P8-2 CRF维特比解码和模型训练(2) - 陈华编程
Sample images from the dataset [1].
2025焦点计划- JoTang
AI100_机器学习日报2017-10-29 ICCV 2017:训练GAN的16个技巧 ...
smooth_ap_loss_equation1
PyTorch深度学习指南:编程基础卷I pdf电子书[52MB]下载-码农书籍网
知无不言
目标检测-YOLO V4基于PyTorch从零复现(与行人车辆检测实战 ...
机器学习日报2017-02-14 语义问题与深度学习匹配;朴素贝叶斯新闻 ...
nca_loss_equation1
PyTorch深度学习实战:从新手小白到数据科学家-- 张敏-京东阅读 ...
七月算法深度学习集训营第三期2022(完结无密) - 独角兽资源站
python-基于ChatGPT4+Python近红外光谱数据分析及机器学习与深度 ...
threshold_consistent_margin_loss
磐创AIPyTorch 中文手册- Fashion MNIST 图像分类- 磐创AI
Minimax-M2.1大模型技术架构与性能测评报告:前沿突破与商业价值 ...
把大語言模型變成你想要的樣子-OCR開源殺手鐧MiniCPM-V ...
vicreg_total
万字综述:全面梳理FP8 训练和推理技术- AI智能王
triplet_margin_loss_equation
使用CNN进行回归预测代码(Python版-使用pytorch框架) - 工具箱 ...
习惯养成
PyTorch深度学习—— 构建于AutoDL,也有可能是恒源云- 三二一的一的二
Softmax和交叉熵的深度解析和Python实现- 宽客在线
Analytics Vidhya
九天菜菜大模型原理与训练实战2025(超清网盘) - 独角兽资源站
原力新人
体验升级而非颠覆,API成本直降75%:DeepSeek-V3.2-Exp评测丨302 ...
generalized_lifted_structure_loss_equation
python-在Pytorch中使用Tensorboard可视化训练过程_游戏逆向|游戏 ...
hanhan博客- 理解扩散模型理论
易百纳技术社区
对比学习在有赞的应用
学习力
PyTorch机器学习从入门到实战-- 校宝在线,等-京东阅读-在线阅读
angular_loss_equation
MicroGPT,全网最好懂的大模型工作原理解释| Kyle's Blog
Access Solved Big Data and Data Science Projects
verl 资源分享- 资源安利- discussMaker
vicreg_total
2025 « bang's blog
AI – 算法– remaper
Hinge Embedding Loss
零基础AI入门实战(深度学习+Pytorch),AI必备基础编程语言资料网
机器学习-信号处理--基于DEAP数据集的情绪分类的典型深度学习模型 ...
nca_loss_equation2
深度学习之视频人脸识别系列三:人脸表征– TensorFlowNews
PyTorch深度学习指南:编程基础卷I pdf电子书[52MB]下载-码农书籍网
ProjectPro Free Projects on Big Data and Data Science
AI – 算法– remaper
AI大模型时代的“卖铲人”:堆栈AI Infra | uSMART
在这里插入图片描述
如何将qwen3小模型和视觉模型拼接,进而为qwen3小模型提供视觉 ...
新秀勋章
mean absolute error
签到达人
扫码关注腾讯云开发者
在这里插入图片描述
用户头像
作者头像
分享学徒
在这里插入图片描述
在这里插入图片描述
Data Scientist’s Diary
ntxent_loss_equation
勤写标兵
笔耕不辍
PNP_loss_equation
签到新秀
在这里插入图片描述
阅读者勋章
在这里插入图片描述
arcface_loss_equation
五一创作勋章
签到新秀
nca_loss_equation3
持续创作
扫码关注腾讯云开发者
分享小兵
知乎用户
vicreg_total
smooth_ap_loss_equation3
易百纳技术社区
在这里插入图片描述
分享达人
vicreg_total
在这里插入图片描述
作者头像
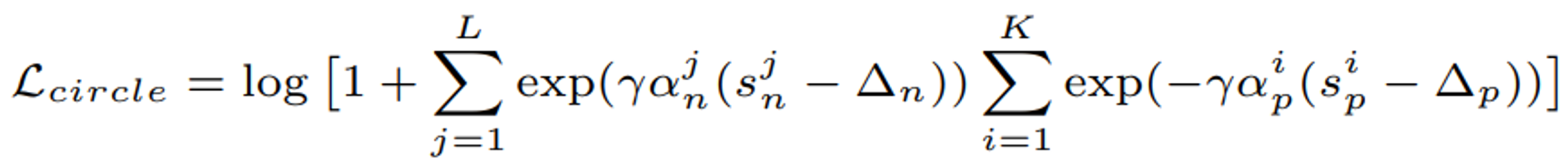
circle_loss_equation1
supcon_loss_equation
circle_loss_equation2
tuplet_margin_loss_equation
阅读者勋章
soft_triple_loss_equation1
proxy_anchor_loss_equation
margin_loss_equation2
cosface_loss_equation
smooth_ap_loss_equation2
lifted_structure_loss_equation
soft_triple_loss_equation2
1
2
下一页