无标题

分辨率 1440x1791
引擎 pinterest
原网页 查看
当前页所有图片 (438)
PyTorch 神经网络- PyTorch官方教程中文版
PyTorch 神经网络- PyTorch官方教程中文版
Pytorch 第三回:二分类逻辑回归模型(下)_pytorc…
Pytorch 第三回:二分类逻辑回归模型(下)_pytorc…
Windows10でPyTorchをインストールしてVSCodeで使う
Windows10でPyTorchをインストールしてVSCodeで使う
Image for Custom Loss Function
Image for Custom Loss Function
Black Screen with Pink and Green Graph
Black Screen with Pink and Green Graph
pytorch学习笔记
pytorch学习笔记
pytorch transforms
pytorch transforms
pytorch学习笔记第九课多分类问题crossentropyloss和softmax
pytorch学习笔记第九课多分类问题crossentropyloss和softmax
PyTorch 图像分类器- PyTorch官方教程中文版
PyTorch 图像分类器- PyTorch官方教程中文版
Pytorch 学习2(CNN)_pytorch 二分类模型 cnn-CSDN博客
Pytorch 学习2(CNN)_pytorch 二分类模型 cnn-CSDN博客
Image for Generating Dataset For PyTorch Loss Functions
Image for Generating Dataset For PyTorch Loss Functions
Close-Up Photo of an Unfinished Jigsaw Puzzle
Close-Up Photo of an Unfinished Jigsaw Puzzle
pytorch函数分类,速览!
pytorch函数分类,速览!
pytorch 二 dataset 与 dataloader
pytorch 二 dataset 与 dataloader
[源码解析] pytorch 分布式(2) —– dataparallel(上)
[源码解析] pytorch 分布式(2) —– dataparallel(上)
生成对抗示例- PyTorch官方教程中文版
生成对抗示例- PyTorch官方教程中文版
PyTorch中二分类与多分类的CrossEntropy Loss与Focal L…
PyTorch中二分类与多分类的CrossEntropy Loss与Focal L…
Image for Model Training Using PyTorch Loss Function
Image for Model Training Using PyTorch Loss Function
Close-Up Shot of Poker Cards on a Grass
Close-Up Shot of Poker Cards on a Grass
算法需要掌握: 🌟 神经网络:包括多层感知机(mlp),适用于图像分类
算法需要掌握: 🌟 神经网络:包括多层感知机(mlp),适用于图像分类
pytorch目标检测 faster r cnn 理论
pytorch目标检测 faster r cnn 理论
磊磊的pytorch学习笔记(15)loss及其梯度
磊磊的pytorch学习笔记(15)loss及其梯度
pytorch实现logistic回归二分类
pytorch实现logistic回归二分类
pytorch学习笔记(七)——loss及其梯度_mse求导-CSDN博客
pytorch学习笔记(七)——loss及其梯度_mse求导-CSDN博客
ML1.1 pytorch 实现简单的全连接神经网络– PP's Blog
ML1.1 pytorch 实现简单的全连接神经网络– PP's Blog
pytorch 二分类交叉熵损失函数 多分类交叉熵损失_mob6454cc6ba5a5的技术博客_51CTO博客
pytorch 二分类交叉熵损失函数 多分类交叉熵损失_mob6454cc6ba5a5的技术博客_51CTO博客
Image for Data Preprocessing in PyTorch
Image for Data Preprocessing in PyTorch
Computer Screen Displaying a Graph
Computer Screen Displaying a Graph
pytorch图片识别步骤 午休时间,学了一招新模型,如何
pytorch图片识别步骤 午休时间,学了一招新模型,如何
pytorch
pytorch
tensorflow和pytorch框架绘制loss和accuracy曲线
tensorflow和pytorch框架绘制loss和accuracy曲线
常见的梯度下降算法- Ji-Huan Guan
常见的梯度下降算法- Ji-Huan Guan
PyTorch中二分类与多分类的Cr…
PyTorch中二分类与多分类的Cr…
Getting started with NLP using the PyTorch framework - KDnuggets
Getting started with NLP using the PyTorch framework - KDnuggets
Image for Defining The PyTorch Loss Function And Optimizer
Image for Defining The PyTorch Loss Function And Optimizer
A Close-Up Shot of Commemorative Dash Coins
A Close-Up Shot of Commemorative Dash Coins
【简历黄金项目集】pytorch实战计算机视觉:一次性搞定分类,检测,分割
【简历黄金项目集】pytorch实战计算机视觉:一次性搞定分类,检测,分割
pytorch 2
pytorch 2
pytorch-01
pytorch-01
微调基于torchvision 0.3的目标检测模型- PyTorch官方教程中文版
微调基于torchvision 0.3的目标检测模型- PyTorch官方教程中文版
pytorch 二分类交叉熵损失函数 多分类交叉熵损失_mob6454cc6ba5a5的技术博客_51C…
pytorch 二分类交叉熵损失函数 多分类交叉熵损失_mob6454cc6ba5a5的技术博客_51C…
Python代码阅读(第17篇):列表元素按位合并
Python代码阅读(第17篇):列表元素按位合并
Image for Categorical Cross-Entropy Loss Function
Image for Categorical Cross-Entropy Loss Function
Vibrant Green Bee-Eater Perched on Wire
Vibrant Green Bee-Eater Perched on Wire
pytorch 神经网络基础
pytorch 神经网络基础
pytorch
pytorch
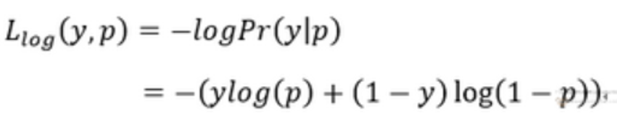
pytorch二分类loss zhuanlan.zhihu.com
pytorch二分类loss zhuanlan.zhihu.com
空间变换器网络- PyTorch官方教程中文版
空间变换器网络- PyTorch官方教程中文版
Pytorch基础知识(5)图像二分类_pytorch 二分类-CSDN博客
Pytorch基础知识(5)图像二分类_pytorch 二分类-CSDN博客
#data #pipelinedata #analytics | Roni Caruso
#data #pipelinedata #analytics | Roni Caruso
Image for Cross-Entropy Loss Function
Image for Cross-Entropy Loss Function
Yellow Paper With Red and White Pen
Yellow Paper With Red and White Pen
loss curves of (a) alexnet, (c) vgg13, and (e) squeezenet and
loss curves of (a) alexnet, (c) vgg13, and (e) squeezenet and
pytorch目标检测 faster r cnn 理论
pytorch目标检测 faster r cnn 理论
4271a8c6eb17367351a414abfcd4ec58.png
4271a8c6eb17367351a414abfcd4ec58.png
PyTorch深度学习—— 构建于AutoDL,也有可能是恒源云- 三二一的一的二
PyTorch深度学习—— 构建于AutoDL,也有可能是恒源云- 三二一的一的二
基于pytorch的二分类、多分类、多标签等问题总结 - 知乎
基于pytorch的二分类、多分类、多标签等问题总结 - 知乎
Image for PyTorch Combine Loss Function
Image for PyTorch Combine Loss Function
Coding Script
Coding Script
pytorch分类神经网5步
pytorch分类神经网5步
pytorch transform
pytorch transform
对比学习在有赞的应用
对比学习在有赞的应用
pytorch 神经网络套路 实现多 …
pytorch 神经网络套路 实现多 …
[Tech With Tim] Tensorflow 2.0 Tutorial - What is an Embedding Layer? Text Classification P2
[Tech With Tim] Tensorflow 2.0 Tutorial - What is an Embedding Layer? Text Classification P2
Image for Geometric Loss Function
Image for Geometric Loss Function
Close-up of a Graph in a Screen
Close-up of a Graph in a Screen
pytorch之旅二
pytorch之旅二
pytorch
pytorch
img
img
机器学习理论】为什么机器学习会训练失败– 你好,欢迎来到
机器学习理论】为什么机器学习会训练失败– 你好,欢迎来到
PyTorch深度学习实践(b站刘二大人)P9讲 多分类问题 Softmax Classifier_刘二大人 交叉熵损 …
PyTorch深度学习实践(b站刘二大人)P9讲 多分类问题 Softmax Classifier_刘二大人 交叉熵损 …
Image for Mean Absolute Error Loss Function
Image for Mean Absolute Error Loss Function
Blackboard during Mathematics Lesson
Blackboard during Mathematics Lesson
2-1 初识pytorch基本框架
2-1 初识pytorch基本框架
pytorch 二分类交叉熵损失函数
pytorch 二分类交叉熵损失函数
dataloader实现 pytorch 分布式 pytorch中dataloader
dataloader实现 pytorch 分布式 pytorch中dataloader
使用CNN进行回归预测代码(Python版-使用pytorch框架) - 工具箱 ...
使用CNN进行回归预测代码(Python版-使用pytorch框架) - 工具箱 ...
实战 二分分类器(python + pytorch)_二分类器-CSDN博客
实战 二分分类器(python + pytorch)_二分类器-CSDN博客
Probability Distributions
Probability Distributions
Image for PyTorch Lightning Loss Functions Syntax
Image for PyTorch Lightning Loss Functions Syntax
Close-Up Shot of a Yellow Paper on a White Surface
Close-Up Shot of a Yellow Paper on a White Surface
pytorch0.4.0 attributeerror module torch has no attribute flatten
pytorch0.4.0 attributeerror module torch has no attribute flatten
pytorch中的用于分类问题的loss解析 - 知乎
pytorch中的用于分类问题的loss解析 - 知乎
神经网络模型(有监督) - sklearn 官方文档中文版(0.22.1)
神经网络模型(有监督) - sklearn 官方文档中文版(0.22.1)
PyTorch 10大常用损失函数Loss Function详解_…
PyTorch 10大常用损失函数Loss Function详解_…
Fuzzy Clustering
Fuzzy Clustering
Image for Huber Loss Function
Image for Huber Loss Function
Computer C++ Code
Computer C++ Code
pytorch transform
pytorch transform
ML1.4 pytorch 实现极简版GPT – PP's Blog
ML1.4 pytorch 实现极简版GPT – PP's Blog
PyTorch中二分类与多分类的CrossEntropy Loss与Focal Loss原理及实现-开发者社区-阿里云
PyTorch中二分类与多分类的CrossEntropy Loss与Focal Loss原理及实现-开发者社区-阿里云
How to Handle Missing Data: A Flow Chart
How to Handle Missing Data: A Flow Chart
Image for Binary Cross-Entropy Loss Function
Image for Binary Cross-Entropy Loss Function
Brown Wooden Cubes
Brown Wooden Cubes
使用字符级RNN进行名字分类- PyTorch官方教程中文版
使用字符级RNN进行名字分类- PyTorch官方教程中文版
PyTorch 10大常用损失函数Loss Function详解_pytorch分类模型 …
PyTorch 10大常用损失函数Loss Function详解_pytorch分类模型 …
✨ Introducing Plotly Express ✨
✨ Introducing Plotly Express ✨
PyTorch Loss Functions
PyTorch Loss Functions
Gray Steel Chain on Orange Surface
Gray Steel Chain on Orange Surface
pytorch中的seq2seq的人们国籍分类的示例
pytorch中的seq2seq的人们国籍分类的示例
PyTorch深度学习—— 构建于AutoDL,也有可能是恒源云- 三二一的一的二
PyTorch深度学习—— 构建于AutoDL,也有可能是恒源云- 三二一的一的二
Pytorch基础知识(5)图像二分类_pytorch 二分类-CSDN博客
Pytorch基础知识(5)图像二分类_pytorch 二分类-CSDN博客
Image for Importing Libraries in PyTorch
Image for Importing Libraries in PyTorch
pytorch目标检测 faster r cnn 理论
pytorch目标检测 faster r cnn 理论
Full Frame Shot of Abstract Pattern
Full Frame Shot of Abstract Pattern
使用CNN进行模式识别(分类)代码(Python版) - 工具箱文档 ...
使用CNN进行模式识别(分类)代码(Python版) - 工具箱文档 ...
Pytorch搭建简单神经网络(二)——分类 - 知乎
Pytorch搭建简单神经网络(二)——分类 - 知乎
​AI App API Payload: The JSON Blueprint
​AI App API Payload: The JSON Blueprint
Image for Dataset Splitting in PyTorch Loss Functions Example
Image for Dataset Splitting in PyTorch Loss Functions Example
pytorch深度学习 多分类问题 mnist训练实例 b站刘二大人p9学习笔记
pytorch深度学习 多分类问题 mnist训练实例 b站刘二大人p9学习笔记
Black Screen of a Monitor
Black Screen of a Monitor
唐宇迪深度学习-行人重识别实战(完结无密) - 独角兽资源站
唐宇迪深度学习-行人重识别实战(完结无密) - 独角兽资源站
DIY #7 - Data distribution
DIY #7 - Data distribution
Image for Defining The Model Architecture in Loss Functions in PyTorch
Image for Defining The Model Architecture in Loss Functions in PyTorch
pytorch学习 7 常用损失函数 crossentropyloss, bceloss, bcewithlogitsloss, l1loss, mseloss
pytorch学习 7 常用损失函数 crossentropyloss, bceloss, bcewithlogitsloss, l1loss, mseloss
Stock Exchange Charts
Stock Exchange Charts
体验升级而非颠覆,API成本直降75%:DeepSeek-V3.2-Exp评测丨302 ...
体验升级而非颠覆,API成本直降75%:DeepSeek-V3.2-Exp评测丨302 ...
PyTorch 10大常用损失函数Loss Function详解_pytorch分类模型好 …
PyTorch 10大常用损失函数Loss Function详解_pytorch分类模型好 …
Confusion Matrix, Precision, and Recall Explained - KDnuggets
Confusion Matrix, Precision, and Recall Explained - KDnuggets
【NLP修炼系列之分类loss】二分类、多分类与多标签分类loss损失函数
【NLP修炼系列之分类loss】二分类、多分类与多标签分类loss损失函数
初始pytorch 八 自编码器auto encoders
初始pytorch 八 自编码器auto encoders
Photo Of Alphabet Tiles On Wooden Surface
Photo Of Alphabet Tiles On Wooden Surface
python-在Pytorch中使用Tensorboard可视化训练过程_游戏逆向|游戏 ...
python-在Pytorch中使用Tensorboard可视化训练过程_游戏逆向|游戏 ...
pytorch loss backward两个模型 …
pytorch loss backward两个模型 …
Image for Mean Squared Error Loss Function
Image for Mean Squared Error Loss Function
pytorch lesson10 二分类交叉熵损失函数及调用 多分类交叉熵损失函数及调用
pytorch lesson10 二分类交叉熵损失函数及调用 多分类交叉熵损失函数及调用
Black and Yellow Electronic Chip
Black and Yellow Electronic Chip
深度学习之视频人脸识别系列三:人脸表征– TensorFlowNews
深度学习之视频人脸识别系列三:人脸表征– TensorFlowNews
基于pytorch的二分类、多分类、多标签等问题总结 - 知乎
基于pytorch的二分类、多分类、多标签等问题总结 - 知乎
normalized_softmax_loss_equation
normalized_softmax_loss_equation
pytorch tensor
pytorch tensor
Burnt and Unburn Matchsticks on a Yellow Surface
Burnt and Unburn Matchsticks on a Yellow Surface
PyTorch深度学习,全流程医学影像端到端判别实战项目(2023新版 ...
PyTorch深度学习,全流程医学影像端到端判别实战项目(2023新版 ...
PyTorch中二分类与多分类的CrossEntropy Loss与Focal Loss原理及实现-开发者社区-阿里云
PyTorch中二分类与多分类的CrossEntropy Loss与Focal Loss原理及实现-开发者社区-阿里云
large_margin_softmax_loss_equation1
large_margin_softmax_loss_equation1
pytorch深度学习 多分类问题 mnist训练实例 b站刘二大人p9学习笔记
pytorch深度学习 多分类问题 mnist训练实例 b站刘二大人p9学习笔记
深度学习入门:pytorch实现二分类和多分类 - 知乎
深度学习入门:pytorch实现二分类和多分类 - 知乎
使用CNN进行模式识别(分类)代码(Python版) - 工具箱文档 ...
使用CNN进行模式识别(分类)代码(Python版) - 工具箱文档 ...
large_margin_softmax_loss_equation2
large_margin_softmax_loss_equation2
pytorch目标检测 faster r cnn 理论
pytorch目标检测 faster r cnn 理论
pytorch 神经网络套路 实现多维输入特征的二分类_pytorch二分类神经网络-CSDN博客
pytorch 神经网络套路 实现多维输入特征的二分类_pytorch二分类神经网络-CSDN博客
python-在Pytorch中使用Tensorboard可视化训练过程_游戏逆向|游戏 ...
python-在Pytorch中使用Tensorboard可视化训练过程_游戏逆向|游戏 ...
在这里插入图片描述
在这里插入图片描述
pytorch mobile android 2
pytorch mobile android 2
对比学习在有赞的应用
对比学习在有赞的应用
PyTorch实战-实现神经网络图像分类 …
PyTorch实战-实现神经网络图像分类 …
Binary Cross Entropy Loss
Binary Cross Entropy Loss
pytorch学习九 损失函数
pytorch学习九 损失函数
使用CNN进行模式识别(分类)代码(Python版) - 工具箱文档 ...
使用CNN进行模式识别(分类)代码(Python版) - 工具箱文档 ...
PyTorch 10大常用损失函数Loss Function详解_pytorch分类模 …
PyTorch 10大常用损失函数Loss Function详解_pytorch分类模 …
在这里插入图片描述
在这里插入图片描述
pytorch 神经网络套路 实现一维输入特征的二分类
pytorch 神经网络套路 实现一维输入特征的二分类
知识库检索匹配的服务化实践
知识库检索匹配的服务化实践
The Essential Guide to Pytorch Loss Functions
The Essential Guide to Pytorch Loss Functions
pytorch实战完整项目学习 猫狗二分类
pytorch实战完整项目学习 猫狗二分类
PyTorch深度学习—— 构建于AutoDL,也有可能是恒源云- 三二一的一的二
PyTorch深度学习—— 构建于AutoDL,也有可能是恒源云- 三二一的一的二
PyTorch中二分类与多分类的CrossEntropy Loss与Focal Loss原 …
PyTorch中二分类与多分类的CrossEntropy Loss与Focal Loss原 …
在这里插入图片描述
在这里插入图片描述
软件工程第二次作业 pytorch 基础练习 以及 螺旋数据分类
软件工程第二次作业 pytorch 基础练习 以及 螺旋数据分类
对比学习在有赞的应用
对比学习在有赞的应用
PyTorch学习笔记——二分类交叉熵损失函数 - 知乎
PyTorch学习笔记——二分类交叉熵损失函数 - 知乎
神经网络学习 一 pytorch
神经网络学习 一 pytorch
InsightFace: 用OneFlow轻松实现超大规模人脸识别模_OneFlow一流 ...
InsightFace: 用OneFlow轻松实现超大规模人脸识别模_OneFlow一流 ...
PyTorch中二分类与多分类的CrossEntropy Loss与Focal Loss原理及实现-开发者社区-阿里云
PyTorch中二分类与多分类的CrossEntropy Loss与Focal Loss原理及实现-开发者社区-阿里云
contrastive_loss_similarity_equation
contrastive_loss_similarity_equation
pytorch
pytorch
磐创AIPyTorch 中文手册- Fashion MNIST 图像分类- 磐创AI
磐创AIPyTorch 中文手册- Fashion MNIST 图像分类- 磐创AI
PyTorch二分类时BCELoss,CrossEntropyLoss,Sigmoid等的选择和 …
PyTorch二分类时BCELoss,CrossEntropyLoss,Sigmoid等的选择和 …
Example dataset [1] for binary image classification.
Example dataset [1] for binary image classification.
软件工程第二次作业 pytorch 基础练习 以及 螺旋数据分类
软件工程第二次作业 pytorch 基础练习 以及 螺旋数据分类
PyTorch深度学习—— 构建于AutoDL,也有可能是恒源云- 三二一的一的二
PyTorch深度学习—— 构建于AutoDL,也有可能是恒源云- 三二一的一的二
pytorch多标签分类 loss函数 pytorch lstm 分类_mob6454cc79ab13的技术博客_51CTO博客
pytorch多标签分类 loss函数 pytorch lstm 分类_mob6454cc79ab13的技术博客_51CTO博客
Class distribution of sample dataset for image classification plotted with seaborn
Class distribution of sample dataset for image classification plotted with seaborn
pytorch学习笔记 二分类交叉熵损失函数
pytorch学习笔记 二分类交叉熵损失函数
强化学习- PyTorch官方教程中文版
强化学习- PyTorch官方教程中文版
PyTorch 10大常用损失函数Loss Function详解_pytorch分类模型好用 …
PyTorch 10大常用损失函数Loss Function详解_pytorch分类模型好用 …
Udacity PyTorch Challengers
Udacity PyTorch Challengers
pytorch深度学习 损失函数 二
pytorch深度学习 损失函数 二
ML1.2 pytorch 实现bigram 模型– PP's Blog
ML1.2 pytorch 实现bigram 模型– PP's Blog
教你如何使用PyTorch解决多分类问题 - 知乎
教你如何使用PyTorch解决多分类问题 - 知乎
Kullback-Leibler Divergence loss
Kullback-Leibler Divergence loss
七 详解pytorch中的交叉熵损失函数nn.bceloss nn.bcelosswithlogits ,二分类任务如何定义损失函数,如何计算准确率 如何预测
七 详解pytorch中的交叉熵损失函数nn.bceloss nn.bcelosswithlogits ,二分类任务如何定义损失函数,如何计算准确率 如何预测
3d-复现PointNet++(语义分割网络):Windows + PyTorch + S3DIS ...
3d-复现PointNet++(语义分割网络):Windows + PyTorch + S3DIS ...
深度学习&PyTorch 之 DNN-二分类_torch 复杂完整的dnn二分类模型调参实例-CSDN博客
深度学习&PyTorch 之 DNN-二分类_torch 复杂完整的dnn二分类模型调参实例-CSDN博客
Sigmoid 曲线
Sigmoid 曲线
关于anaconda opencv pycharm pytorch
关于anaconda opencv pycharm pytorch
PyTorch从入门到实践(套装共6册) -- 陈云,等-京东阅读-在线阅读
PyTorch从入门到实践(套装共6册) -- 陈云,等-京东阅读-在线阅读
在这里插入图片描述
在这里插入图片描述
论文加源码 基于deap和mabhob数据集的二分类脑电情绪识别 pytorch深度神经网络 dnn 和卷积神经网络 cnn
论文加源码 基于deap和mabhob数据集的二分类脑电情绪识别 pytorch深度神经网络 dnn 和卷积神经网络 cnn
ML1.4 pytorch 实现极简版GPT – PP's Blog
ML1.4 pytorch 实现极简版GPT – PP's Blog
multi_similarity_loss_equation
multi_similarity_loss_equation
软件工程第二次作业 pytorch 基础练习 以及 螺旋数据分类
软件工程第二次作业 pytorch 基础练习 以及 螺旋数据分类
PyTorch深度学习实战:从新手小白到数据科学家-- 张敏-京东阅读 ...
PyTorch深度学习实战:从新手小白到数据科学家-- 张敏-京东阅读 ...
anaconda3.5.2 pytorch pytorch cpu 1.1.0 torchvision cpu 0.3.0
anaconda3.5.2 pytorch pytorch cpu 1.1.0 torchvision cpu 0.3.0
PyTorch深度学习开发医学影像端到端判别项目(完整版11章)_泓优网络
PyTorch深度学习开发医学影像端到端判别项目(完整版11章)_泓优网络
Example dataset [1] for binary image classification. Insert your data here.
Example dataset [1] for binary image classification. Insert your data here.
论文加源码 基于deap和mabhob数据集的二分类脑电情绪识别 pytorch深度神经网络 dnn 和卷积神经网络 cnn
论文加源码 基于deap和mabhob数据集的二分类脑电情绪识别 pytorch深度神经网络 dnn 和卷积神经网络 cnn
Pytorch深度学习入门与实战,新版Pytorch零基础教程- VIPC6资源网
Pytorch深度学习入门与实战,新版Pytorch零基础教程- VIPC6资源网
Cosine decay learning rate scheduler
Cosine decay learning rate scheduler
七 详解pytorch中的交叉熵损失函数nn.bceloss nn.bcelosswithlogits ,二分类任务如何定义损失函数,如何计算准确率 如何预测
七 详解pytorch中的交叉熵损失函数nn.bceloss nn.bcelosswithlogits ,二分类任务如何定义损失函数,如何计算准确率 如何预测
使用CNN进行回归预测代码(Python版-使用pytorch框架) - 工具箱 ...
使用CNN进行回归预测代码(Python版-使用pytorch框架) - 工具箱 ...
pytorch 损失函数 pytorch深度学习 损失函数 二
pytorch 损失函数 pytorch深度学习 损失函数 二
PyTorch深度学习开发医学影像端到端判别项目「完结无密」 - 优库 ...
PyTorch深度学习开发医学影像端到端判别项目「完结无密」 - 优库 ...
在这里插入图片描述
在这里插入图片描述
论文加源码 基于deap和mabhob数据集的二分类脑电情绪识别 pytorch深度神经网络 dnn 和卷积神经网络 cnn 代码解析
论文加源码 基于deap和mabhob数据集的二分类脑电情绪识别 pytorch深度神经网络 dnn 和卷积神经网络 cnn 代码解析
全连接神经网络的垃圾邮件分类课程论文+Python源码及数据-毕业 ...
全连接神经网络的垃圾邮件分类课程论文+Python源码及数据-毕业 ...
contrastive_loss_equation
contrastive_loss_equation
pytorch学习九 损失函数
pytorch学习九 损失函数
AI « bang's blog
AI « bang's blog
论文加源码 基于deap和mabhob数据集的二分类脑电情绪识别 pytorch深度神经网络 dnn 和卷积神经网络 cnn
论文加源码 基于deap和mabhob数据集的二分类脑电情绪识别 pytorch深度神经网络 dnn 和卷积神经网络 cnn
Pytorch入门(2) - 快速上手模型创建- 深度学习入门- 思语视觉BBS
Pytorch入门(2) - 快速上手模型创建- 深度学习入门- 思语视觉BBS
Splitting the data into training and testing datasets (Inspired by scikit-learn)
Splitting the data into training and testing datasets (Inspired by scikit-learn)
动手学深度学习v2.0 pytorch 30. 第二部分完结竞赛 图片分类 及 38. 树叶分类结果 及 43. 树叶分类竞赛技术总结
动手学深度学习v2.0 pytorch 30. 第二部分完结竞赛 图片分类 及 38. 树叶分类结果 及 43. 树叶分类竞赛技术总结
PyTorch深度学习,全流程医学影像端到端判别实战项目(2023新版 ...
PyTorch深度学习,全流程医学影像端到端判别实战项目(2023新版 ...
vggnet网络pytorch实战.pdf
vggnet网络pytorch实战.pdf
2025焦点计划- JoTang
2025焦点计划- JoTang
pytorch transforms csdn
pytorch transforms csdn
PyTorch深度学习—— 构建于AutoDL,也有可能是恒源云- 三二一的一的二
PyTorch深度学习—— 构建于AutoDL,也有可能是恒源云- 三二一的一的二
PyTorch Loss Functions
PyTorch Loss Functions
pytorch live 5分钟制作人工智能app
pytorch live 5分钟制作人工智能app
PyTorch深度学习,全流程医学影像端到端判别实战项目(2023新版 ...
PyTorch深度学习,全流程医学影像端到端判别实战项目(2023新版 ...
篮网21分大逆转结束四连败 重回东部第二
篮网21分大逆转结束四连败 重回东部第二
Pytorch深度学习实现线性回归(Linear Regression) - 陈华编程
Pytorch深度学习实现线性回归(Linear Regression) - 陈华编程
softmax exponentiation
softmax exponentiation
使用CNN进行模式识别(分类)代码(Python版) - 工具箱文档 ...
使用CNN进行模式识别(分类)代码(Python版) - 工具箱文档 ...
在这里插入图片描述
在这里插入图片描述
深度学习与PyTorch入门实战教程- 咸鱼资源
深度学习与PyTorch入门实战教程- 咸鱼资源
PyTorch深度学习—— 构建于AutoDL,也有可能是恒源云- 三二一的一的二
PyTorch深度学习—— 构建于AutoDL,也有可能是恒源云- 三二一的一的二
triplet_margin_loss_equation
triplet_margin_loss_equation
python-在Pytorch中使用Tensorboard可视化训练过程_游戏逆向|游戏 ...
python-在Pytorch中使用Tensorboard可视化训练过程_游戏逆向|游戏 ...
Splitting the training data again into training and validation (Inspired by scikit-learn)
Splitting the training data again into training and validation (Inspired by scikit-learn)
Pytorch深度学习入门与实战,新版Pytorch零基础教程- VIPC6资源网
Pytorch深度学习入门与实战,新版Pytorch零基础教程- VIPC6资源网
vicreg_total
vicreg_total
TextGrad - AI平台| AI工具集|AI资讯站
TextGrad - AI平台| AI工具集|AI资讯站
bang's blog
bang's blog
深度学习之PyTorch实战计算机视觉-- 唐进民-京东阅读-在线阅读
深度学习之PyTorch实战计算机视觉-- 唐进民-京东阅读-在线阅读
threshold_consistent_margin_loss
threshold_consistent_margin_loss
PyTorch深度学习实战(美)伊莱·史蒂文斯2022P446_9787115577672 ...
PyTorch深度学习实战(美)伊莱·史蒂文斯2022P446_9787115577672 ...
TensorFlow-v2.15
TensorFlow-v2.15
深度学习——理论、方法与PyTorch实践-- 翟中华,孟翔宇-京东阅读 ...
深度学习——理论、方法与PyTorch实践-- 翟中华,孟翔宇-京东阅读 ...
Expectation vs. reality: In practice, only a few people train neural networks from scratch for image classification
Expectation vs. reality: In practice, only a few people train neural networks from scratch for image classification
模型剪枝综述
模型剪枝综述
在这里插入图片描述
在这里插入图片描述
PyTorch入门到进阶,实战计算机视觉与自然语言处理-92资源站-IT ...
PyTorch入门到进阶,实战计算机视觉与自然语言处理-92资源站-IT ...
Python人工智能20个小时玩转NLP自然语言处理- 咸鱼资源
Python人工智能20个小时玩转NLP自然语言处理- 咸鱼资源
体验升级而非颠覆,API成本直降75%:DeepSeek-V3.2-Exp评测丨302 ...
体验升级而非颠覆,API成本直降75%:DeepSeek-V3.2-Exp评测丨302 ...
png
png
PyTorch深度学习开发医学影像端到端判别项目(完整版11章)_泓优网络
PyTorch深度学习开发医学影像端到端判别项目(完整版11章)_泓优网络
AI « bang's blog
AI « bang's blog
区分类型 (分类)
区分类型 (分类)
CSDN学院:深度学习与PyTorch入门实战教程,龙良曲主讲,全套下载 ...
CSDN学院:深度学习与PyTorch入门实战教程,龙良曲主讲,全套下载 ...
generalized_lifted_structure_loss_equation
generalized_lifted_structure_loss_equation
Softmax和交叉熵的深度解析和Python实现- 宽客在线
Softmax和交叉熵的深度解析和Python实现- 宽客在线
NER项目P8-2 CRF维特比解码和模型训练(2) - 陈华编程
NER项目P8-2 CRF维特比解码和模型训练(2) - 陈华编程
使用CNN进行回归预测代码(Python版-使用pytorch框架) - 工具箱 ...
使用CNN进行回归预测代码(Python版-使用pytorch框架) - 工具箱 ...
2025焦点计划- JoTang
2025焦点计划- JoTang
在这里插入图片描述
在这里插入图片描述
AI100_机器学习日报2017-10-29 ICCV 2017:训练GAN的16个技巧 ...
AI100_机器学习日报2017-10-29 ICCV 2017:训练GAN的16个技巧 ...
Loss function
Loss function
PyTorch深度学习指南:编程基础卷I pdf电子书[52MB]下载-码农书籍网
PyTorch深度学习指南:编程基础卷I pdf电子书[52MB]下载-码农书籍网
区分类型 (分类)
区分类型 (分类)
目标检测-YOLO V4基于PyTorch从零复现(与行人车辆检测实战 ...
目标检测-YOLO V4基于PyTorch从零复现(与行人车辆检测实战 ...
angular_loss_equation
angular_loss_equation
PyTorch深度学习实战:从新手小白到数据科学家-- 张敏-京东阅读 ...
PyTorch深度学习实战:从新手小白到数据科学家-- 张敏-京东阅读 ...
python-基于ChatGPT4+Python近红外光谱数据分析及机器学习与深度 ...
python-基于ChatGPT4+Python近红外光谱数据分析及机器学习与深度 ...
七月算法深度学习集训营第三期2022(完结无密) - 独角兽资源站
七月算法深度学习集训营第三期2022(完结无密) - 独角兽资源站
机器学习日报2017-02-14 语义问题与深度学习匹配;朴素贝叶斯新闻 ...
机器学习日报2017-02-14 语义问题与深度学习匹配;朴素贝叶斯新闻 ...
nca_loss_equation2
nca_loss_equation2
磐创AIPyTorch 中文手册- Fashion MNIST 图像分类- 磐创AI
磐创AIPyTorch 中文手册- Fashion MNIST 图像分类- 磐创AI
Hinge Embedding Loss
Hinge Embedding Loss
Minimax-M2.1大模型技术架构与性能测评报告:前沿突破与商业价值 ...
Minimax-M2.1大模型技术架构与性能测评报告:前沿突破与商业价值 ...
把大語言模型變成你想要的樣子-OCR開源殺手鐧MiniCPM-V ...
把大語言模型變成你想要的樣子-OCR開源殺手鐧MiniCPM-V ...
万字综述:全面梳理FP8 训练和推理技术- AI智能王
万字综述:全面梳理FP8 训练和推理技术- AI智能王
PyTorch深度学习—— 构建于AutoDL,也有可能是恒源云- 三二一的一的二
PyTorch深度学习—— 构建于AutoDL,也有可能是恒源云- 三二一的一的二
Example output of the Dataloader with customized Dataset
Example output of the Dataloader with customized Dataset
九天菜菜大模型原理与训练实战2025(超清网盘) - 独角兽资源站
九天菜菜大模型原理与训练实战2025(超清网盘) - 独角兽资源站
体验升级而非颠覆,API成本直降75%:DeepSeek-V3.2-Exp评测丨302 ...
体验升级而非颠覆,API成本直降75%:DeepSeek-V3.2-Exp评测丨302 ...
Softmax和交叉熵的深度解析和Python实现- 宽客在线
Softmax和交叉熵的深度解析和Python实现- 宽客在线
在这里插入图片描述
在这里插入图片描述
python-在Pytorch中使用Tensorboard可视化训练过程_游戏逆向|游戏 ...
python-在Pytorch中使用Tensorboard可视化训练过程_游戏逆向|游戏 ...
对比学习在有赞的应用
对比学习在有赞的应用
smooth_ap_loss_equation1
smooth_ap_loss_equation1
PyTorch机器学习从入门到实战-- 校宝在线,等-京东阅读-在线阅读
PyTorch机器学习从入门到实战-- 校宝在线,等-京东阅读-在线阅读
hanhan博客- 理解扩散模型理论
hanhan博客- 理解扩散模型理论
mean absolute error
mean absolute error
机器学习-信号处理--基于DEAP数据集的情绪分类的典型深度学习模型 ...
机器学习-信号处理--基于DEAP数据集的情绪分类的典型深度学习模型 ...
2025 « bang's blog
2025 « bang's blog
在这里插入图片描述
在这里插入图片描述
MicroGPT,全网最好懂的大模型工作原理解释| Kyle's Blog
MicroGPT,全网最好懂的大模型工作原理解释| Kyle's Blog
在这里插入图片描述
在这里插入图片描述
verl 资源分享- 资源安利- discussMaker
verl 资源分享- 资源安利- discussMaker
AI – 算法– remaper
AI – 算法– remaper
在这里插入图片描述
在这里插入图片描述
零基础AI入门实战(深度学习+Pytorch),AI必备基础编程语言资料网
零基础AI入门实战(深度学习+Pytorch),AI必备基础编程语言资料网
深度学习之视频人脸识别系列三:人脸表征– TensorFlowNews
深度学习之视频人脸识别系列三:人脸表征– TensorFlowNews
PNP_loss_equation
PNP_loss_equation
PyTorch深度学习指南:编程基础卷I pdf电子书[52MB]下载-码农书籍网
PyTorch深度学习指南:编程基础卷I pdf电子书[52MB]下载-码农书籍网
AI – 算法– remaper
AI – 算法– remaper
Splitting the training data again into training and validation (Inspired by scikit-learn)
Splitting the training data again into training and validation (Inspired by scikit-learn)
AI大模型时代的“卖铲人”:堆栈AI Infra | uSMART
AI大模型时代的“卖铲人”:堆栈AI Infra | uSMART
在这里插入图片描述
在这里插入图片描述
如何将qwen3小模型和视觉模型拼接,进而为qwen3小模型提供视觉 ...
如何将qwen3小模型和视觉模型拼接,进而为qwen3小模型提供视觉 ...
ntxent_loss_equation
ntxent_loss_equation
data_science_project
data_science_project
扫码加入开发者社群
扫码加入开发者社群
在这里插入图片描述
在这里插入图片描述
在这里插入图片描述
在这里插入图片描述
arcface_loss_equation
arcface_loss_equation
在这里插入图片描述
在这里插入图片描述
nca_loss_equation1
nca_loss_equation1
写文章
写文章
在这里插入图片描述
在这里插入图片描述
nca_loss_equation3
nca_loss_equation3
smooth_ap_loss_equation3
smooth_ap_loss_equation3
在这里插入图片描述
在这里插入图片描述
vicreg_total
vicreg_total
image-20200919112307060
image-20200919112307060
vicreg_total
vicreg_total
在这里插入图片描述
在这里插入图片描述
circle_loss_equation2
circle_loss_equation2
活动名称
活动名称
supcon_loss_equation
supcon_loss_equation
circle_loss_equation1
circle_loss_equation1
在这里插入图片描述
在这里插入图片描述
在这里插入图片描述
在这里插入图片描述
在这里插入图片描述
在这里插入图片描述
proxy_anchor_loss_equation
proxy_anchor_loss_equation
tuplet_margin_loss_equation
tuplet_margin_loss_equation
在这里插入图片描述
在这里插入图片描述
soft_triple_loss_equation1
soft_triple_loss_equation1
在这里插入图片描述
在这里插入图片描述
data_csv
data_csv
vicreg_total
vicreg_total
在这里插入图片描述
在这里插入图片描述
cosface_loss_equation
cosface_loss_equation
活动名称
活动名称
Augmented training dataset
Augmented training dataset
margin_loss_equation2
margin_loss_equation2
GitHub
GitHub
学习力
学习力
soft_triple_loss_equation2
soft_triple_loss_equation2
Biased-Algorithms
Biased-Algorithms
写文章
写文章
smooth_ap_loss_equation2
smooth_ap_loss_equation2
Sample images from the dataset [1].
Sample images from the dataset [1].
广告
广告
PyTorch学习笔记——多分类交叉熵损失函数
PyTorch学习笔记——多分类交叉熵损失函数
lifted_structure_loss_equation
lifted_structure_loss_equation
持续创作
持续创作
知无不言
知无不言
Analytics Vidhya
Analytics Vidhya
勤写标兵
勤写标兵
Access Solved Big Data and Data Science Projects
Access Solved Big Data and Data Science Projects
扫码关注腾讯云开发者
扫码关注腾讯云开发者