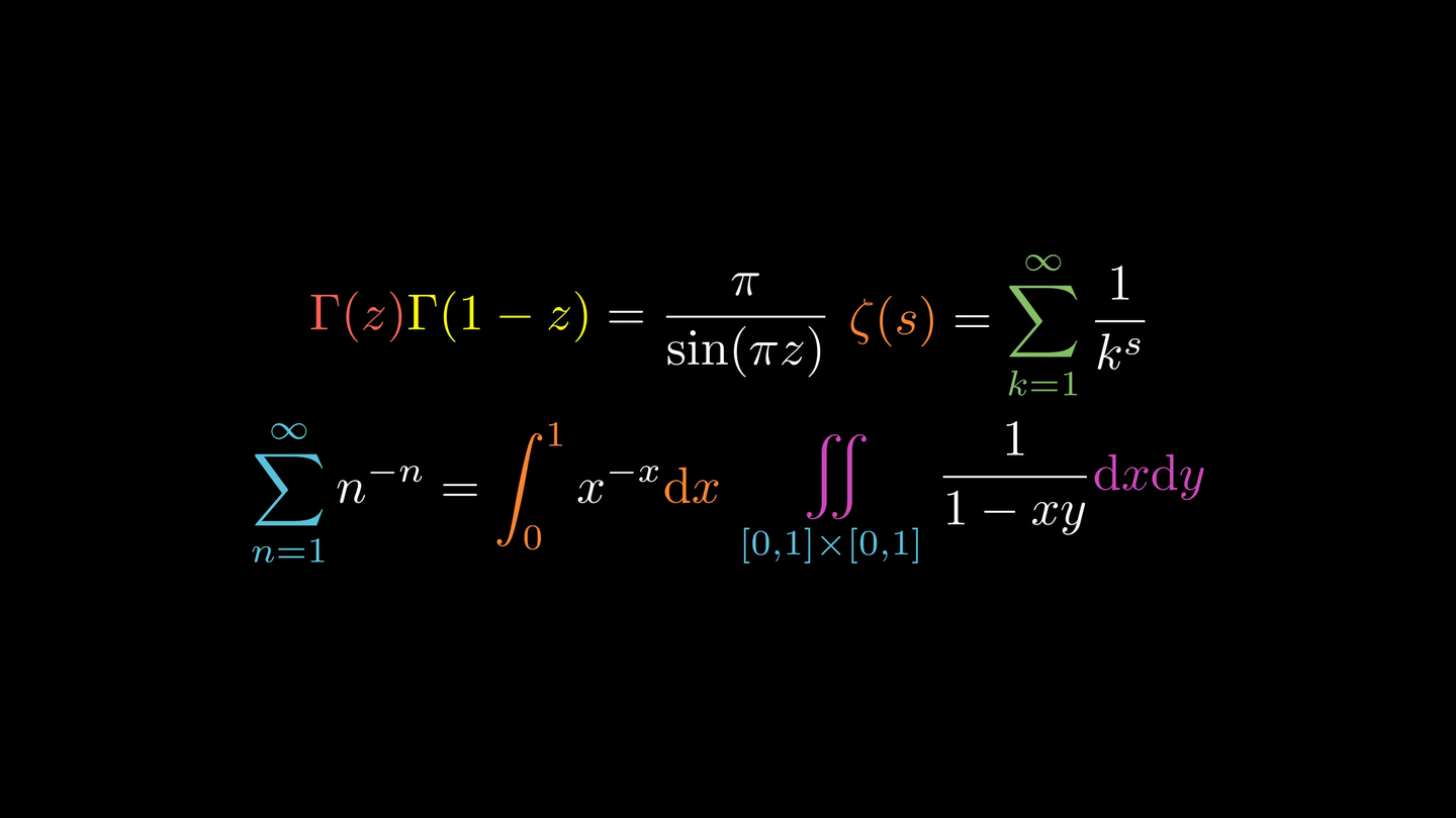
Gamma函数的那些事(3)——Gamma函数的应用 - 知乎

Gamma函数的那些事(3)——Gamma函数的应用 - 知乎

分辨率 1440×810
来源 zhuanlan.zhihu.com
引擎 bing images
原网页 查看
当前页所有图片 (141)
Exercise 1.4 (Square Root) …
Exercise 1.4 (Square Root) …
robtop
robtop
Low Angle Photography of Sky
Low Angle Photography of Sky
尝试root funtouch os vivo官网社区
尝试root funtouch os vivo官网社区
Square root calculation mentally | PPTX
Square root calculation mentally | PPTX
Route66
Route66
手机root权限获取及设备连接指南
手机root权限获取及设备连接指南
Brown Concrete Brick Wall
Brown Concrete Brick Wall
3 刷机及root手机
3 刷机及root手机
3.6 rk3399项目开发实录 板载buildroot 系统的使用 wulianjishu666
3.6 rk3399项目开发实录 板载buildroot 系统的使用 wulianjishu666
Tattoo symbol
Tattoo symbol
808资源平台 - 一站式资源解 …
808资源平台 - 一站式资源解 …
route 66(original mix)
route 66(original mix)
适用于已root 手机已xposed 成品小米10手机root和框架的订做开顺风车
适用于已root 手机已xposed 成品小米10手机root和框架的订做开顺风车
White Surface
White Surface
科技来电 下班离线权 鸡狗不同权
科技来电 下班离线权 鸡狗不同权
SIX SIX SIX 666 Steal a Brainrot 3D Model STL Multiparts No Support Fanart
SIX SIX SIX 666 Steal a Brainrot 3D Model STL Multiparts No Support Fanart
How to Calculate Square Root Without Calculator
How to Calculate Square Root Without Calculator
[root@centos37~]#systemctl status haproxy1http://10.0.0.
[root@centos37~]#systemctl status haproxy1http://10.0.0.
彩虹乐队15梦洲《route666》 死亡公路上的极速狂飙(中日自译字幕)
彩虹乐队15梦洲《route666》 死亡公路上的极速狂飙(中日自译字幕)
White and Blue Route 66 Logo
White and Blue Route 66 Logo
iphone 能刷安卓系统了,这操作666
iphone 能刷安卓系统了,这操作666
PPT - The Power of Symbols PowerPoint Presentation, free downl…
PPT - The Power of Symbols PowerPoint Presentation, free downl…
QQ图片20190705174302.jpg
QQ图片20190705174302.jpg
k620 mini gaming mechanical keyboard 61 keys rgb
k620 mini gaming mechanical keyboard 61 keys rgb
Green and White Text Based Tiles On Black Background
Green and White Text Based Tiles On Black Background
你想将自己的手机型号修改为iphone7吗
你想将自己的手机型号修改为iphone7吗
Simplifying Square Root | Simplify Square Root | Math…
Simplifying Square Root | Simplify Square Root | Math…
p6root的简单介绍
p6root的简单介绍
p>kinguser,是 a target="_blank" href="/item/kingroot">kingroot
p>kinguser,是 a target="_blank" href="/item/kingroot">kingroot
Purple Blurred Background
Purple Blurred Background
rootkit病毒 独狼2 假冒激活工具传播,锁定23款浏览器主页,已感染上万台电脑 国内杀毒软件 安全区
rootkit病毒 独狼2 假冒激活工具传播,锁定23款浏览器主页,已感染上万台电脑 国内杀毒软件 安全区
67
67
Square root calculation mentally | PPTX
Square root calculation mentally | PPTX
华为荣耀6x如何root 华为荣耀6xroot教程图文教程
华为荣耀6x如何root 华为荣耀6xroot教程图文教程
华为手机root.各种品牌手机root,欢迎工作室对接,量大 - 抖音
华为手机root.各种品牌手机root,欢迎工作室对接,量大 - 抖音
Brown Bricked Wall
Brown Bricked Wall
抵制外挂 第53期 逃少史上最快对局
抵制外挂 第53期 逃少史上最快对局
Icon <3
Icon <3
传奇数学家康威,生命游戏的创造者,最伟大的数学玩家 - 知乎
传奇数学家康威,生命游戏的创造者,最伟大的数学玩家 - 知乎
666 - rowney/tnt - 单曲 - 网易云音乐
666 - rowney/tnt - 单曲 - 网易云音乐
🔍 root模块大揭秘!
🔍 root模块大揭秘!
An artist’s illustration of artificial intelligence (AI). This image visualises the input and output of neural networks and how AI systems perceive data. It was created by Rose Pilkington ...
An artist’s illustration of artificial intelligence (AI). This image visualises the input and output of neural networks and how AI systems perceive data. It was created by Rose Pilkington ...
rootkit病毒 独狼2 假冒激活工具传播,锁定23款浏览器主页,已感染上万台电脑 国内杀毒软件 安全区
rootkit病毒 独狼2 假冒激活工具传播,锁定23款浏览器主页,已感染上万台电脑 国内杀毒软件 安全区
GET AWAY
GET AWAY
IXL - Square roots (Algebra 1 practice)
IXL - Square roots (Algebra 1 practice)
666root 知乎
666root 知乎
fs的oppo re no7se刷root过环境又一位大牛诞 - 抖音
fs的oppo re no7se刷root过环境又一位大牛诞 - 抖音
White Concrete Building With Glass Windows
White Concrete Building With Glass Windows
谁可以给个root软件 可以root乐视1s 多谢
谁可以给个root软件 可以root乐视1s 多谢
Chapter 6: Square Roots, nth Roots, Radicals & Co…
Chapter 6: Square Roots, nth Roots, Radicals & Co…
小米6root获取失败
小米6root获取失败
[derteufel666]ddカスタムヘッドddh01(セミホワイト肌/开口) レジン
[derteufel666]ddカスタムヘッドddh01(セミホワイト肌/开口) レジン
Close-up of Leaf on Wooden Plank
Close-up of Leaf on Wooden Plank
htc 10 root教程 htc 10获取root权限的方法
htc 10 root教程 htc 10获取root权限的方法
guest666 fanart
guest666 fanart
666^2 #maths#mathe…
666^2 #maths#mathe…
Pile of Books
Pile of Books
掌握这份安卓手机root教程,一分钟让你的手机溜到飞起来
掌握这份安卓手机root教程,一分钟让你的手机溜到飞起来
666
666
2≠4 - 知乎
2≠4 - 知乎
kingroot下载
kingroot下载
2020 with Confetti
2020 with Confetti
definition - Calculator's graph …
definition - Calculator's graph …
哈哈,待机时间回春了
哈哈,待机时间回春了
Yellow Wall Paint
Yellow Wall Paint
博文阅读密码验证 - 博客园
博文阅读密码验证 - 博客园
android 基带版本怎么升级,android如何升级5.1系统 安卓5.1刷机技巧
android 基带版本怎么升级,android如何升级5.1系统 安卓5.1刷机技巧
A Texture of a White Paper
A Texture of a White Paper
Projects
Projects
红米note刷机后总是弹出广告怎么办
红米note刷机后总是弹出广告怎么办
Textured White Concrete Wall
Textured White Concrete Wall
aesthetic 666 ig
aesthetic 666 ig
(九)算数(Arithmetics)基础知识总结 - 知乎
(九)算数(Arithmetics)基础知识总结 - 知乎
z4root
z4root
Monochrome Photo of Leafless Tree
Monochrome Photo of Leafless Tree
简便计算,666×667,教育,在线教育,好看视频
简便计算,666×667,教育,在线教育,好看视频
这是为何 nexus 6有通知灯却不能用
这是为何 nexus 6有通知灯却不能用
A Yellow and Blue Color Gradient
A Yellow and Blue Color Gradient
有没有特别浪漫的数学表白公式, …
有没有特别浪漫的数学表白公式, …
ota不丢root
ota不丢root
Black and White Concept
Black and White Concept
Jane Doe John Doe G666 1X4 Taph
Jane Doe John Doe G666 1X4 Taph
数学天堂、mathematica …
数学天堂、mathematica …
超级root大师 android ,android android
超级root大师 android ,android android
Sandy surface of beach in daytime
Sandy surface of beach in daytime
6,303 Square root symbol 图片、库存照片和矢 …
6,303 Square root symbol 图片、库存照片和矢 …
root成功
root成功
Nintendo Nes Game Console Set
Nintendo Nes Game Console Set
leetcode 69 牛顿法实现double sqrt(double x)函数_leetcode浮点数 …
leetcode 69 牛顿法实现double sqrt(double x)函数_leetcode浮点数 …
华为p10 root教程 华为p10获取root权限的方法
华为p10 root教程 华为p10获取root权限的方法
Graph equations and equation s…
Graph equations and equation s…
三星g930x root教程 三星g930x获取root权限的方法
三星g930x root教程 三星g930x获取root权限的方法
More Quadratics
More Quadratics
手机不能root,怎么样强制root
手机不能root,怎么样强制root
Square Root Function Table
Square Root Function Table
完美root手机版下载 完美root 万能root权限获取工具 下载v3.3.7.0504 安卓版 当易网
完美root手机版下载 完美root 万能root权限获取工具 下载v3.3.7.0504 安卓版 当易网
【财通金工】“拾穗”多因子(十一):多因子风险预测:从怎么做到为什么 投资要点 多因子风险预测:从怎么做到为什么 样本协方差矩阵估计存在三点不 ...
【财通金工】“拾穗”多因子(十一):多因子风险预测:从怎么做到为什么 投资要点 多因子风险预测:从怎么做到为什么 样本协方差矩阵估计存在三点不 ...
奇兔root工具震撼来袭 你的手机你做主
奇兔root工具震撼来袭 你的手机你做主
Rootin’ Around | Math Jokes 4 Mathy Folks
Rootin’ Around | Math Jokes 4 Mathy Folks
root百宝箱
root百宝箱
666_7-9 6翻了 分数 5 作者 陈越 单位 浙江大学 666.jpg “666”是一种网络用语,大概-CSDN博客
666_7-9 6翻了 分数 5 作者 陈越 单位 浙江大学 666.jpg “666”是一种网络用语,大概-CSDN博客
小米miui 7 root 工具 supersu root
小米miui 7 root 工具 supersu root
Introduction to Roots
Introduction to Roots
百度一键root支持机型,教您百度一键root支持机型有哪些
百度一键root支持机型,教您百度一键root支持机型有哪些
14.1 Functions of Several Variables
14.1 Functions of Several Variables
一键root大师绿色版下载 一键root大师2.9.0
一键root大师绿色版下载 一键root大师2.9.0
sqrt函数模拟实现的两种方法_simulink利用查找表计算根号-CSDN博客
sqrt函数模拟实现的两种方法_simulink利用查找表计算根号-CSDN博客
12个linux进程管理命令介绍
12个linux进程管理命令介绍
基于STM32的各种数学函数优化计算方法(代码开源)_stm32 sin函数-CSDN博客
基于STM32的各种数学函数优化计算方法(代码开源)_stm32 sin函数-CSDN博客
索尼z2免解锁root教程 索尼xperia z2一键免解锁root教程
索尼z2免解锁root教程 索尼xperia z2一键免解锁root教程
在线计算器 - IT工具箱
在线计算器 - IT工具箱
华为荣耀畅玩4x root教程 荣耀畅玩4x获取root权限
华为荣耀畅玩4x root教程 荣耀畅玩4x获取root权限
6,303 Square root symbol 图片、库存照片和矢 …
6,303 Square root symbol 图片、库存照片和矢 …
关于kingroot问题求解
关于kingroot问题求解
MathJax 引擎数学符号说明_…
MathJax 引擎数学符号说明_…
lg e985t怎么root
lg e985t怎么root
Gamma函数的那些事(3)——Gamma函数的应用 - 知乎
Gamma函数的那些事(3)——Gamma函数的应用 - 知乎
root用户和root用户组在权限上的区别
root用户和root用户组在权限上的区别
202一键root下载, 202一键root手机下载 必备软件 爱奇艺应用商店
202一键root下载, 202一键root手机下载 必备软件 爱奇艺应用商店
android kingroot一键root工具,一键root大师
android kingroot一键root工具,一键root大师
ctf靶场系列 post类型sql注入利用拿到主机root权限
ctf靶场系列 post类型sql注入利用拿到主机root权限
magisk的root隐藏功能要凉了, 新版safetynet用了硬件级检测
magisk的root隐藏功能要凉了, 新版safetynet用了硬件级检测
完美root手机版v3.2.6.0921免费下载 完美rootapk最新版下载
完美root手机版v3.2.6.0921免费下载 完美rootapk最新版下载
root大师演示root海信u8 图 文
root大师演示root海信u8 图 文
htc incredible s 2.32.chs.110810永久root权限精简版拉环锁屏rom
htc incredible s 2.32.chs.110810永久root权限精简版拉环锁屏rom
安卓php无root,安卓手机免root部署linux,比androphp更强大替代品 lilacyue的博客 csdn博客
安卓php无root,安卓手机免root部署linux,比androphp更强大替代品 lilacyue的博客 csdn博客
mate7 android 6 root权限管理,华为mate7 6.0 root教程 华为mate7获取6.0系统的root方法
mate7 android 6 root权限管理,华为mate7 6.0 root教程 华为mate7获取6.0系统的root方法
互联网要点 给力助手一键root安卓模拟器
互联网要点 给力助手一键root安卓模拟器
轻松成功 电信版红米root指南
轻松成功 电信版红米root指南
ubuntu root 如何直接通过root用户登录进入桌面
ubuntu root 如何直接通过root用户登录进入桌面
一键root大师安卓版下载 一键root大师手机版1.0
一键root大师安卓版下载 一键root大师手机版1.0