强化学习如何用于推荐?首篇综述,32页,135篇论文~ - 知乎

强化学习如何用于推荐?首篇综述,32页,135篇论文~ - 知乎

分辨率 1080×734
来源 zhuanlan.zhihu.com
引擎 bing images
原网页 查看
当前页所有图片 (463)
强化学习在推荐系统中的应用_强化学习推荐系统数据-CSDN博客
强化学习在推荐系统中的应用_强化学习推荐系统数据-CSDN博客
个性化推荐系统,必须关注的五大研究热点– 我爱计算机
个性化推荐系统,必须关注的五大研究热点– 我爱计算机
Siberian by Apofiss, visual art
Siberian by Apofiss, visual art
Blackboard during Mathematics Lesson
Blackboard during Mathematics Lesson
【强化学习基础】强化学习入门重要书籍推荐
【强化学习基础】强化学习入门重要书籍推荐
强化学习入门指南:从零到一的轻松掌握 🎮
强化学习入门指南:从零到一的轻松掌握 🎮
图灵奖得主john hopcroft推荐的这本强化学习入门书
图灵奖得主john hopcroft推荐的这本强化学习入门书
赠书干货用python动手学强化学习
赠书干货用python动手学强化学习
强化学习落地:推荐系统 - 知乎
强化学习落地:推荐系统 - 知乎
强化学习:去中心化AI 网络的范式变迁- Foresight News
强化学习:去中心化AI 网络的范式变迁- Foresight News
The Benefits of Continuous Improvement
The Benefits of Continuous Improvement
The Compass Never Settles by marcel-mercado, visual art
The Compass Never Settles by marcel-mercado, visual art
Sunlit Empty Classroom in Hubei Province
Sunlit Empty Classroom in Hubei Province
在这里插入图片描述
在这里插入图片描述
我用63页pdf搞懂强化学习经典八大算法.强化学习(rein - 抖音
我用63页pdf搞懂强化学习经典八大算法.强化学习(rein - 抖音
优等生学习法 超速提高学习成绩的有效方法 教育专家推荐 经典读本
优等生学习法 超速提高学习成绩的有效方法 教育专家推荐 经典读本
二、强化学习简介
二、强化学习简介
论文阅读笔记【5,基于强化学习推荐系统的模拟器】 - 知乎
论文阅读笔记【5,基于强化学习推荐系统的模拟器】 - 知乎
强化学习- AI平台| AI工具集|AI资讯站
强化学习- AI平台| AI工具集|AI资讯站
[AF2023] golden ray by brisskwindsarts, visual art
[AF2023] golden ray by brisskwindsarts, visual art
Young Woman Studying in Vietnamese Classroom
Young Woman Studying in Vietnamese Classroom
在这里插入图片描述
在这里插入图片描述
搞懂大模型的智能基因,rlhf系统设计关键问答 文末送书
搞懂大模型的智能基因,rlhf系统设计关键问答 文末送书
这绝对是我看过最好的深度强化学习!从入门到实战,7小时内干货不断!
这绝对是我看过最好的深度强化学习!从入门到实战,7小时内干货不断!
强化学习书籍推荐
强化学习书籍推荐
【总结】强化学习推荐系统的模型结构与特点 - 知乎
【总结】强化学习推荐系统的模型结构与特点 - 知乎
南栖仙策— 新一代智能决策
南栖仙策— 新一代智能决策
Zen Cosmos by SeerLight, visual art
Zen Cosmos by SeerLight, visual art
Sunlit Classroom with Empty Wooden Desks
Sunlit Classroom with Empty Wooden Desks
在这里插入图片描述
在这里插入图片描述
如何高效学习,推荐5本提高学习能力的书
如何高效学习,推荐5本提高学习能力的书
我们不仅仅是专注于提高孩子的学习成绩,更是培养孩子主动学习的好
我们不仅仅是专注于提高孩子的学习成绩,更是培养孩子主动学习的好
强化学习简介
强化学习简介
2021深度强化学习在推荐中的应用最新综 …
2021深度强化学习在推荐中的应用最新综 …
强化学习:去中心化AI 网络的范式变迁- Foresight News
强化学习:去中心化AI 网络的范式变迁- Foresight News
7 Scientifically Proven Study Techniques to Boost Memory & Focus
7 Scientifically Proven Study Techniques to Boost Memory & Focus
Late Night Cafe by Kalfy, visual art
Late Night Cafe by Kalfy, visual art
Empty Classroom with Wooden Desks and Chairs
Empty Classroom with Wooden Desks and Chairs
强化学习是机器学习的学习方法之一
强化学习是机器学习的学习方法之一
清华社一周新书速览
清华社一周新书速览
学习力觉醒|如何做一个学习力超强的人 勤做总结整理,好记性不如烂
学习力觉醒|如何做一个学习力超强的人 勤做总结整理,好记性不如烂
2.2.3 强化学习
2.2.3 强化学习
【总结】强化学习推荐系统的模型结构与特点 - 知乎
【总结】强化学习推荐系统的模型结构与特点 - 知乎
强化学习:去中心化AI 网络的范式变迁- Foresight News
强化学习:去中心化AI 网络的范式变迁- Foresight News
Ebb and Flow - The Shallows, Ch.3: Symbiosis by Ausp-ice, visual art
Ebb and Flow - The Shallows, Ch.3: Symbiosis by Ausp-ice, visual art
Cozy Library Corridor with Sunlit Window
Cozy Library Corridor with Sunlit Window
在这里插入图片描述
在这里插入图片描述
人工智能书籍推荐
人工智能书籍推荐
📖什么是学习力?学习力是指一 - 抖音
📖什么是学习力?学习力是指一 - 抖音
强化学习
强化学习
强化学习如何用于推荐?首篇综述,32页,135篇论文~ - 知乎
强化学习如何用于推荐?首篇综述,32页,135篇论文~ - 知乎
强化学习(第2版)》9787121295164.pdf-俞凯等-电子工业出版社 ...
强化学习(第2版)》9787121295164.pdf-俞凯等-电子工业出版社 ...
Study Motivation | Focus on Your Goals
Study Motivation | Focus on Your Goals
Ada Wong by logancure, visual art
Ada Wong by logancure, visual art
在这里插入图片描述
在这里插入图片描述
Traditional Village Scene with Children on Stilts
Traditional Village Scene with Children on Stilts
中国ai人才缺口500万,10本硬核技术书带你上车
中国ai人才缺口500万,10本硬核技术书带你上车
强化学习算法分类
强化学习算法分类
强化学习在推荐排序中的应用
强化学习在推荐排序中的应用
强化学习如何用于推荐?新南威尔士首篇《深度强化学习推荐系统》综述论文,32页pdf135 …
强化学习如何用于推荐?新南威尔士首篇《深度强化学习推荐系统》综述论文,32页pdf135 …
大模型算法:强化学习、微调与对齐》 - 余昌叶- 电子工业出版社 ...
大模型算法:强化学习、微调与对齐》 - 余昌叶- 电子工业出版社 ...
Cute Time - Two fluffy balls by Elffyie, visual art
Cute Time - Two fluffy balls by Elffyie, visual art
在这里插入图片描述
在这里插入图片描述
A Person Wearing a Mask in Celebration of a Festival
A Person Wearing a Mask in Celebration of a Festival
学术报告 南开大学郭宪 强化学习基本理论概述
学术报告 南开大学郭宪 强化学习基本理论概述
📚提升学习力的6大思维模型
📚提升学习力的6大思维模型
强化学习介绍及应用
强化学习介绍及应用
强化学习落地:推荐系统 - 知乎
强化学习落地:推荐系统 - 知乎
强化学习- AI平台| AI工具集|AI资讯站
强化学习- AI平台| AI工具集|AI资讯站
THANK YOU SO MUCH DEVIANTART by AlectorFencer, visual art
THANK YOU SO MUCH DEVIANTART by AlectorFencer, visual art
强化学习的两部分和三要素
强化学习的两部分和三要素
Four Woman Singing and Playing Guitar Near Cyclone Fence
Four Woman Singing and Playing Guitar Near Cyclone Fence
2022年最值得阅读的强化学习书籍
2022年最值得阅读的强化学习书籍
强化学习与注意力机制:探索与发现
强化学习与注意力机制:探索与发现
数据分析|一文看懂强化学习之简介篇
数据分析|一文看懂强化学习之简介篇
【重磅推荐: 强化学习课程】清华大学李升波老师《强化学习与控制》-CSDN博客
【重磅推荐: 强化学习课程】清华大学李升波老师《强化学习与控制》-CSDN博客
强化学习- AI平台| AI工具集|AI资讯站
强化学习- AI平台| AI工具集|AI资讯站
the sources of critical thinking 🤔
the sources of critical thinking 🤔
勤写标兵
勤写标兵
3233. Ryechu (Fan Art) by Cryptid-Creations, visual art
3233. Ryechu (Fan Art) by Cryptid-Creations, visual art
Women Playing String Instruments
Women Playing String Instruments
强化学习推荐系统的模型结构与特点总结
强化学习推荐系统的模型结构与特点总结
如何根据孩子的学习风格选择学习方法?
如何根据孩子的学习风格选择学习方法?
量化分析报告:基于强化学习的组合优化在指增策略中的应用
量化分析报告:基于强化学习的组合优化在指增策略中的应用
【总结】强化学习推荐系统的模型结构与特点 - 知乎
【总结】强化学习推荐系统的模型结构与特点 - 知乎
大模型算法:强化学习、微调与对齐》 - 余昌叶- 电子工业出版社 ...
大模型算法:强化学习、微调与对齐》 - 余昌叶- 电子工业出版社 ...
Study Tips That Will Change Your Life
Study Tips That Will Change Your Life
在这里插入图片描述
在这里插入图片描述
Kafka_Lingerie by NeoArtCorE, visual art
Kafka_Lingerie by NeoArtCorE, visual art
Anonymous woman turning page of music book near piano
Anonymous woman turning page of music book near piano
图灵奖得主john hopcroft推荐的这本强化学习入门书
图灵奖得主john hopcroft推荐的这本强化学习入门书
强化学习路线推荐及资料整理 - 知乎
强化学习路线推荐及资料整理 - 知乎
强化学习- AI平台| AI工具集|AI资讯站
强化学习- AI平台| AI工具集|AI资讯站
How to Study Smarter, Not Harder 💡
How to Study Smarter, Not Harder 💡
在这里插入图片描述
在这里插入图片描述
Young Woman Playing with Bubbles in Classroom
Young Woman Playing with Bubbles in Classroom
飞浆学院强化学习7日打卡营 学习笔记
飞浆学院强化学习7日打卡营 学习笔记
【强化学习 246】RL+Foundation Models - 知乎
【强化学习 246】RL+Foundation Models - 知乎
强化学习:去中心化AI 网络的范式变迁- Foresight News
强化学习:去中心化AI 网络的范式变迁- Foresight News
étudiante
étudiante
在这里插入图片描述
在这里插入图片描述
Georgina 50 by V-kony, visual art
Georgina 50 by V-kony, visual art
Secrets Revealed by MouseAvenger, literature
Secrets Revealed by MouseAvenger, literature
VT... by jake10684, visual art
VT... by jake10684, visual art
Beauty and the Demon The Enchanted Christmas 11 by leahk90, literature
Beauty and the Demon The Enchanted Christmas 11 by leahk90, literature
Transgender Stamp by DemSavageStampsDoe, visual art
Transgender Stamp by DemSavageStampsDoe, visual art
Close-Up Photo of a Woman Smiling while Touching Flowers
Close-Up Photo of a Woman Smiling while Touching Flowers
推荐 提高学习和工作效率的8个app
推荐 提高学习和工作效率的8个app
【强化学习 246】RL+Foundation Models - 知乎
【强化学习 246】RL+Foundation Models - 知乎
强化学习创新创意大赛- 南栖仙策
强化学习创新创意大赛- 南栖仙策
强化学习应用
强化学习应用
Photo of Woman Near White Flowers
Photo of Woman Near White Flowers
促进决策智能解决现实世界问题 强化学习与运筹优化前沿技术论坛圆满闭幕
促进决策智能解决现实世界问题 强化学习与运筹优化前沿技术论坛圆满闭幕
【最好的强化学习课程推荐】《Reinforcement Learning-Goal Ori…
【最好的强化学习课程推荐】《Reinforcement Learning-Goal Ori…
技术文章« bang's blog
技术文章« bang's blog
Powerful Study Affirmations For Academic Success
Powerful Study Affirmations For Academic Success
在学校现场卡通学生高清图片
在学校现场卡通学生高清图片
The Forbidden City, Beijing, China
The Forbidden City, Beijing, China
强化学习 机器人学经典 策略规划算法原理
强化学习 机器人学经典 策略规划算法原理
强化学习在推荐算法中实践 - 知乎
强化学习在推荐算法中实践 - 知乎
强化学习创新创意大赛- 南栖仙策
强化学习创新创意大赛- 南栖仙策
Resources for Transformer Learning
Resources for Transformer Learning
在这里插入图片描述
在这里插入图片描述
Piles of documents in paper office
Piles of documents in paper office
推荐系统 强化学习
推荐系统 强化学习
你是怎样入门强化学习的? - 知乎
你是怎样入门强化学习的? - 知乎
什么是机器学习算法?类型与示例- 我的网站
什么是机器学习算法?类型与示例- 我的网站
The benefits of self-study
The benefits of self-study
侧边栏图片
侧边栏图片
Arukori by Nixri, visual art
Arukori by Nixri, visual art
Little ethnic ballerina practicing ballet with coach
Little ethnic ballerina practicing ballet with coach
基于深度强化学习与自适应在线学习的搜索和推荐算法研究
基于深度强化学习与自适应在线学习的搜索和推荐算法研究
强化学习系列一——基于深度强化学习的新闻推荐 …
强化学习系列一——基于深度强化学习的新闻推荐 …
深度强化学习》王树森pdf电子书[112MB]下载-码农书籍网
深度强化学习》王树森pdf电子书[112MB]下载-码农书籍网
强化学习主题页图表
强化学习主题页图表
Clara Kent by NeoArtCorE, visual art
Clara Kent by NeoArtCorE, visual art
Girl Wearing Pink Button Up Shirt Smiling
Girl Wearing Pink Button Up Shirt Smiling
强化学习在推荐混排中的应用
强化学习在推荐混排中的应用
22 强化学习:让推荐系统像智能机器人一样自主学习 - 极客时间文档
22 强化学习:让推荐系统像智能机器人一样自主学习 - 极客时间文档
深度强化学习》王树森pdf电子书[112MB]下载-码农书籍网
深度强化学习》王树森pdf电子书[112MB]下载-码农书籍网
在这里插入图片描述
在这里插入图片描述
Revenant Hill by TomTC, visual art
Revenant Hill by TomTC, visual art
Young Woman in Classroom Setting, Hanoi
Young Woman in Classroom Setting, Hanoi
基于深度强化学习与自适应在线学习的搜索和推荐算法研究
基于深度强化学习与自适应在线学习的搜索和推荐算法研究
强化学习入门知识超全梳理 - 知乎
强化学习入门知识超全梳理 - 知乎
什么是机器学习算法?类型与示例- 我的网站
什么是机器学习算法?类型与示例- 我的网站
动图封面
动图封面
what aboat that by littleulvar, visual art
what aboat that by littleulvar, visual art
Bouquet of flowers on table near Asian woman playing flute
Bouquet of flowers on table near Asian woman playing flute
推荐 深度强化学习聊天机器人 附论文
推荐 深度强化学习聊天机器人 附论文
强化学习基础知识 - 知乎
强化学习基础知识 - 知乎
深度强化学习》王树森pdf电子书[112MB]下载-码农书籍网
深度强化学习》王树森pdf电子书[112MB]下载-码农书籍网
在这里插入图片描述
在这里插入图片描述
0423_3 by MookerKe, visual art
0423_3 by MookerKe, visual art
课程推荐 进击的强化学习
课程推荐 进击的强化学习
官方正版强化学习第二版强化学习理查德桑顿 …
官方正版强化学习第二版强化学习理查德桑顿 …
强化学习必修课:引领人工智能新时代(完结无密) - 独角兽资源站
强化学习必修课:引领人工智能新时代(完结无密) - 独角兽资源站
在这里插入图片描述
在这里插入图片描述
Speedpainting 20012023 by SylviaRitter, visual art
Speedpainting 20012023 by SylviaRitter, visual art
2 5强化学习算法在京东广告序列推荐场景的应用 赵鑫.pdf 互联网文档类资源 csdn下载
2 5强化学习算法在京东广告序列推荐场景的应用 赵鑫.pdf 互联网文档类资源 csdn下载
强化学习7日打卡营-世界冠军带你从零实践/课程摘要和调参心得-No.1】强化学习初印象-CSD…
强化学习7日打卡营-世界冠军带你从零实践/课程摘要和调参心得-No.1】强化学习初印象-CSD…
DeepSeek R1 是怎么训练出来的?- R1 论文精读« bang's blog
DeepSeek R1 是怎么训练出来的?- R1 论文精读« bang's blog
在这里插入图片描述
在这里插入图片描述
Ice Elf by guihuahuzi, visual art
Ice Elf by guihuahuzi, visual art
谷歌强化学习多巴胺框架安装简介
谷歌强化学习多巴胺框架安装简介
再掀强化学习变革!DeepMind提出「算法蒸馏」:可探索的预训练强化学习Tran…
再掀强化学习变革!DeepMind提出「算法蒸馏」:可探索的预训练强化学习Tran…
强化学习102 - 马尔科夫决策过程(Markov Decision Process)的 ...
强化学习102 - 马尔科夫决策过程(Markov Decision Process)的 ...
在这里插入图片描述
在这里插入图片描述
heart of the blue by berskan, visual art
heart of the blue by berskan, visual art
nips 2018 强化学习比赛结果出炉 百度nlp团队以绝对优势夺冠
nips 2018 强化学习比赛结果出炉 百度nlp团队以绝对优势夺冠
强化学习从基础到进阶--案例与实践含面试必知必答[10]:模仿学习、行为克隆、逆强化学习、第三人称视角模仿学习、序列生成和聊天机器人…
强化学习从基础到进阶--案例与实践含面试必知必答[10]:模仿学习、行为克隆、逆强化学习、第三人称视角模仿学习、序列生成和聊天机器人…
技术文章« bang's blog
技术文章« bang's blog
进步的学生强化学习高清图片
进步的学生强化学习高清图片
从零实践强化学习之rl初印象 gym parl
从零实践强化学习之rl初印象 gym parl
强化学习(1)-- 介绍_强化学习框架-CSDN博客
强化学习(1)-- 介绍_强化学习框架-CSDN博客
技术文章« bang's blog
技术文章« bang's blog
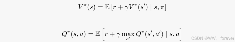
价值函数
价值函数
youtube的value based强化学习推荐系统
youtube的value based强化学习推荐系统
2019年最新深度强化学习PPT(DeepMind制作)-CSDN博客
2019年最新深度强化学习PPT(DeepMind制作)-CSDN博客
深度学习推荐系统2.0》 - 王喆著- 电子工业出版社- 香港大書城 ...
深度学习推荐系统2.0》 - 王喆著- 电子工业出版社- 香港大書城 ...
在这里插入图片描述
在这里插入图片描述
防疫行程卡
防疫行程卡
强化学习 (Reinforcement Learning) - 知乎
强化学习 (Reinforcement Learning) - 知乎
TensorFlow深度学习- Flash Copilot 闪记— 超级浏览器助手 ...
TensorFlow深度学习- Flash Copilot 闪记— 超级浏览器助手 ...
侧边栏图片
侧边栏图片
第二章 强化学习基础 强化学习笔记
第二章 强化学习基础 强化学习笔记
【强化学习的数学原理】从零开始透彻理解强化学习(完结)
【强化学习的数学原理】从零开始透彻理解强化学习(完结)
科技观察】图灵奖得主、强化学习之父理查德·萨顿:大语言模型是 ...
科技观察】图灵奖得主、强化学习之父理查德·萨顿:大语言模型是 ...
在这里插入图片描述
在这里插入图片描述
想拿头条百度39w年薪算法offer 推荐你学这个机器学习与推荐系统项目实训强化课
想拿头条百度39w年薪算法offer 推荐你学这个机器学习与推荐系统项目实训强化课
强化学习:Q-learning由浅入深:简介1 - 知乎
强化学习:Q-learning由浅入深:简介1 - 知乎
CS早期学习
CS早期学习
在这里插入图片描述
在这里插入图片描述
强化学习 基础概念科普
强化学习 基础概念科普
强化学习——强化学习概述_强化学习得到一次结果 …
强化学习——强化学习概述_强化学习得到一次结果 …
深度学习推荐系统2.0》 - 王喆著- 电子工业出版社- 香港大書城 ...
深度学习推荐系统2.0》 - 王喆著- 电子工业出版社- 香港大書城 ...
在这里插入图片描述
在这里插入图片描述
9款提高学习效率软件推荐,用上你就是下一个学霸
9款提高学习效率软件推荐,用上你就是下一个学霸
强化学习从入门到精通!看这一篇就够了-CSDN博客
强化学习从入门到精通!看这一篇就够了-CSDN博客
DeepSeek R1 是怎么训练出来的?- R1 论文精读« bang's blog
DeepSeek R1 是怎么训练出来的?- R1 论文精读« bang's blog
在这里插入图片描述
在这里插入图片描述
强化学习应用简述
强化学习应用简述
深度学习推荐系统2.0》 - 王喆著- 电子工业出版社- 香港大書城 ...
深度学习推荐系统2.0》 - 王喆著- 电子工业出版社- 香港大書城 ...
进步的学生强化学习高清图片
进步的学生强化学习高清图片
actor critic
actor critic
强化学习经典书籍推荐系列(二…
强化学习经典书籍推荐系列(二…
机器学习日报2016-05-17 Attention 让深度学习取得巨大成功;深度 ...
机器学习日报2016-05-17 Attention 让深度学习取得巨大成功;深度 ...
在这里插入图片描述
在这里插入图片描述
强化学习在推荐混排中的应用
强化学习在推荐混排中的应用
强化学习路线推荐及资料整理 - 知乎
强化学习路线推荐及资料整理 - 知乎
深度强化学习》王树森pdf电子书[112MB]下载-码农书籍网
深度强化学习》王树森pdf电子书[112MB]下载-码农书籍网
在这里插入图片描述
在这里插入图片描述
强化学习在美团 猜你喜欢 的实践
强化学习在美团 猜你喜欢 的实践
全局视角系统学习《推荐系统》,实战中提升竞争力(完整版)_泓优网络
全局视角系统学习《推荐系统》,实战中提升竞争力(完整版)_泓优网络
在这里插入图片描述
在这里插入图片描述
强化学习在新闻推荐中的应用
强化学习在新闻推荐中的应用
攀峰智能完成数千万元种子轮融资,云时资本独家投资投资界1月13日 ...
攀峰智能完成数千万元种子轮融资,云时资本独家投资投资界1月13日 ...
在这里插入图片描述
在这里插入图片描述
图灵奖得主john hopcroft推荐的这本强化学习入门书
图灵奖得主john hopcroft推荐的这本强化学习入门书
CS早期学习
CS早期学习
权衡探索和利用
权衡探索和利用
称霸 flappy bird游戏新姿势,百度飞桨强化学习带你开启新玩法
称霸 flappy bird游戏新姿势,百度飞桨强化学习带你开启新玩法
阿九绘图模板大全- 专业的科研绘图模板- 阿九绘图模板大全
阿九绘图模板大全- 专业的科研绘图模板- 阿九绘图模板大全
在这里插入图片描述
在这里插入图片描述
张家口新东方在线 7分录播课
张家口新东方在线 7分录播课
算力(19) AI算力基本介绍AI算力的定义AI算力,是专门用于处理 ...
算力(19) AI算力基本介绍AI算力的定义AI算力,是专门用于处理 ...
在这里插入图片描述
在这里插入图片描述
绝对优质 强化学习资源包推荐食用,从教程到代码 资源图谱
绝对优质 强化学习资源包推荐食用,从教程到代码 资源图谱
强化学习创新创意大赛- 南栖仙策
强化学习创新创意大赛- 南栖仙策
在这里插入图片描述
在这里插入图片描述
深度强化学习课件
深度强化学习课件
孙天澍
孙天澍
请添加图片描述
请添加图片描述
机器学习和深度学习概念入门 下
机器学习和深度学习概念入门 下
什么是机器学习算法?类型与示例- 我的网站
什么是机器学习算法?类型与示例- 我的网站
在这里插入图片描述
在这里插入图片描述
强化学习路线推荐及资料整理
强化学习路线推荐及资料整理
新加坡国立大学EMBA项目| 新年好礼| 2026年国大EMBA社群好书推荐 ...
新加坡国立大学EMBA项目| 新年好礼| 2026年国大EMBA社群好书推荐 ...
在这里插入图片描述
在这里插入图片描述
复习 强化学习
复习 强化学习
孙天澍
孙天澍
强化学习主题页图表
强化学习主题页图表
从零实践强化学习之rl初印象 gym parl
从零实践强化学习之rl初印象 gym parl
科技观察】国产AI 黑马登《Nature》封面:DeepSeek-R1 打破行业 ...
科技观察】国产AI 黑马登《Nature》封面:DeepSeek-R1 打破行业 ...
在这里插入图片描述
在这里插入图片描述
关于人工智能中强化学习的扫盲
关于人工智能中强化学习的扫盲
verl 资源分享- 资源安利- discussMaker
verl 资源分享- 资源安利- discussMaker
在这里插入图片描述
在这里插入图片描述
论文推荐 机器学习方法在交通领域的应用 2020 09 21
论文推荐 机器学习方法在交通领域的应用 2020 09 21
上瘾式学习:科学的自学成才法電子書,作者[日]安川康介- EPUB ...
上瘾式学习:科学的自学成才法電子書,作者[日]安川康介- EPUB ...
强化学习范例
强化学习范例
注会备考初期养成这些好习惯 轻松提高学习效率
注会备考初期养成这些好习惯 轻松提高学习效率
深度学习推荐系统2.0》 - 王喆著- 电子工业出版社- 香港大書城 ...
深度学习推荐系统2.0》 - 王喆著- 电子工业出版社- 香港大書城 ...
侧边栏图片
侧边栏图片
白话深度学习与TensorFlow -- 高扬,卫峥-京东阅读-在线阅读
白话深度学习与TensorFlow -- 高扬,卫峥-京东阅读-在线阅读
贝尔曼方程公式
贝尔曼方程公式
深度学习推荐系统2.0》 - 王喆著- 电子工业出版社- 香港大書城 ...
深度学习推荐系统2.0》 - 王喆著- 电子工业出版社- 香港大書城 ...
在这里插入图片描述
在这里插入图片描述
2026年10大营销自动化工具推荐与比较- LeadsTech
2026年10大营销自动化工具推荐与比较- LeadsTech
在这里插入图片描述
在这里插入图片描述
KDD China 2023 数智未来高峰论坛暨KDD China 2023 Summer School闭幕
KDD China 2023 数智未来高峰论坛暨KDD China 2023 Summer School闭幕
在这里插入图片描述
在这里插入图片描述
机器学习日报2017-04-10 UC Berkeley 2017年度的深度强化学习课程 ...
机器学习日报2017-04-10 UC Berkeley 2017年度的深度强化学习课程 ...
化学公式底纹高清图片
化学公式底纹高清图片
Python深度学习与项目实战-- 周北-京东阅读-在线阅读
Python深度学习与项目实战-- 周北-京东阅读-在线阅读
在这里插入图片描述
在这里插入图片描述
2025 高中学习机品牌推荐:教研赋能,领跑高效备考路_中华教育在线
2025 高中学习机品牌推荐:教研赋能,领跑高效备考路_中华教育在线
在这里插入图片描述
在这里插入图片描述
孙天澍
孙天澍
在这里插入图片描述
在这里插入图片描述
科技观察】国产AI 黑马登《Nature》封面:DeepSeek-R1 打破行业 ...
科技观察】国产AI 黑马登《Nature》封面:DeepSeek-R1 打破行业 ...
动图封面
动图封面
散装码农,人工智能应用学习笔记
散装码农,人工智能应用学习笔记
平展在线教育教室例证传染媒介高清图片
平展在线教育教室例证传染媒介高清图片
图强化学习
图强化学习
图神经网络世界冠军团队手把手授课,7天搞定图神经网络! 允中发 ...
图神经网络世界冠军团队手把手授课,7天搞定图神经网络! 允中发 ...
游戏是典型的强化学习场景
游戏是典型的强化学习场景
孙天澍
孙天澍
强化学习游戏领域的应用
强化学习游戏领域的应用
科技观察】国产AI 黑马登《Nature》封面:DeepSeek-R1 打破行业 ...
科技观察】国产AI 黑马登《Nature》封面:DeepSeek-R1 打破行业 ...
在这里插入图片描述
在这里插入图片描述
Twinkl Ambassador Ms Lu 特别推荐中秋节教学资源集
Twinkl Ambassador Ms Lu 特别推荐中秋节教学资源集
动态规划公式
动态规划公式
强化学习创新创意大赛- 南栖仙策
强化学习创新创意大赛- 南栖仙策
在这里插入图片描述
在这里插入图片描述
十五所高校学生同上一门课:朱松纯教授《蒙特卡洛方法》正式开讲 ...
十五所高校学生同上一门课:朱松纯教授《蒙特卡洛方法》正式开讲 ...
请添加图片描述
请添加图片描述
首入《政府工作报考》,留学生如何把握未来科技机遇?
首入《政府工作报考》,留学生如何把握未来科技机遇?
在这里插入图片描述
在这里插入图片描述
强化学习创新创意大赛- 南栖仙策
强化学习创新创意大赛- 南栖仙策
主流的强化学习算法分类
主流的强化学习算法分类
这就是推荐系统:核心技术原理与企业应用pdf电子书[112MB]下载-码 ...
这就是推荐系统:核心技术原理与企业应用pdf电子书[112MB]下载-码 ...
在这里插入图片描述
在这里插入图片描述
17种深度强化学习算法用Pytorch实现 新智元报道 来源:github ...
17种深度强化学习算法用Pytorch实现 新智元报道 来源:github ...
动图封面
动图封面
AI 重塑教育:2025 四维图鉴- 多鲸资本
AI 重塑教育:2025 四维图鉴- 多鲸资本
在这里插入图片描述
在这里插入图片描述
Garnter新兴技术成熟度曲线(2023-2024)-OceanClub技术社区
Garnter新兴技术成熟度曲线(2023-2024)-OceanClub技术社区
在这里插入图片描述
在这里插入图片描述
大腦喜歡這樣學改變:科學家教你強化學習效果的轉念技巧,幫助你 ...
大腦喜歡這樣學改變:科學家教你強化學習效果的轉念技巧,幫助你 ...
强化学习在图像领域有哪些应用
强化学习在图像领域有哪些应用
PyBullet - AI平台| AI工具集|AI资讯站
PyBullet - AI平台| AI工具集|AI资讯站
在这里插入图片描述
在这里插入图片描述
腾讯健康公布医疗大模型发布多场景AI产品矩阵- 新闻资讯- 腾讯健康
腾讯健康公布医疗大模型发布多场景AI产品矩阵- 新闻资讯- 腾讯健康
在这里插入图片描述
在这里插入图片描述
騰訊混元開源首個面向世界模型強化學習後訓練框架AASTOCKS 財經 ...
騰訊混元開源首個面向世界模型強化學習後訓練框架AASTOCKS 財經 ...
专知会员服务
专知会员服务
中文文本相似度计算工具集– TensorFlowNews
中文文本相似度计算工具集– TensorFlowNews
在这里插入图片描述
在这里插入图片描述
紧跟教育部AI“三进”指导意见斑马AI学推动儿童学习智能化升级_TOM资讯
紧跟教育部AI“三进”指导意见斑马AI学推动儿童学习智能化升级_TOM资讯
策略产品经理必读系列—第二讲强化学习
策略产品经理必读系列—第二讲强化学习
人工智能书籍pdf推荐下载-码农书籍网
人工智能书籍pdf推荐下载-码农书籍网
在这里插入图片描述
在这里插入图片描述
科技观察】图灵奖得主、强化学习之父理查德·萨顿:大语言模型是 ...
科技观察】图灵奖得主、强化学习之父理查德·萨顿:大语言模型是 ...
在这里插入图片描述
在这里插入图片描述
产品> OneBrain数据智能平台_OneFlow一流科技有限公司
产品> OneBrain数据智能平台_OneFlow一流科技有限公司
勤写标兵
勤写标兵
AI算法工程师就业班|完结高清|精品推荐-vipc9资源站
AI算法工程师就业班|完结高清|精品推荐-vipc9资源站
在这里插入图片描述
在这里插入图片描述
香港教育城– 教师
香港教育城– 教师
知识的海洋强化学习高清图片
知识的海洋强化学习高清图片
讓思考變得可見的力量:一本同時強化教學力與學習力的實作書電子 ...
讓思考變得可見的力量:一本同時強化教學力與學習力的實作書電子 ...
在这里插入图片描述
在这里插入图片描述
强脑素DHA 70 | 促进儿童脑部发育| 增强思考及记忆力| 日本命力
强脑素DHA 70 | 促进儿童脑部发育| 增强思考及记忆力| 日本命力
在这里插入图片描述
在这里插入图片描述
Abbott Pediasure雅培保兒加營素1+ (雲呢拿味)兒童成長奶粉850克 ...
Abbott Pediasure雅培保兒加營素1+ (雲呢拿味)兒童成長奶粉850克 ...
五一创作勋章
五一创作勋章
深学细悟强思想知行合一勇担当| 国防教育学院党支部召开11月理论 ...
深学细悟强思想知行合一勇担当| 国防教育学院党支部召开11月理论 ...
动图封面
动图封面
税务师考试备考资料推荐-税务师考试网
税务师考试备考资料推荐-税务师考试网
在这里插入图片描述
在这里插入图片描述
愛完全兒童藻油DHA(60粒)
愛完全兒童藻油DHA(60粒)
在这里插入图片描述
在这里插入图片描述
16名香港科學家入圍兩院院士增選人數再創新高-紫荊網
16名香港科學家入圍兩院院士增選人數再創新高-紫荊網
强化学习的10个现实应用
强化学习的10个现实应用
机器学习日报2015-07-19 Awesome Recurrent Neural Networks ...
机器学习日报2015-07-19 Awesome Recurrent Neural Networks ...
在这里插入图片描述
在这里插入图片描述
比亚迪(SZ002594)$ 仰望U7和2025款汉OTA升级天神之眼5.0端到端大 ...
比亚迪(SZ002594)$ 仰望U7和2025款汉OTA升级天神之眼5.0端到端大 ...
动图封面
动图封面
讓科技創新散發出人文精神的光輝| 周慧儀- 灼見名家
讓科技創新散發出人文精神的光輝| 周慧儀- 灼見名家
强化学习的10个现实应用
强化学习的10个现实应用
2026私域直播运营工具:教培获客top推荐- 固乔网-固乔科技- 一站 ...
2026私域直播运营工具:教培获客top推荐- 固乔网-固乔科技- 一站 ...
动图封面
动图封面
浅谈关于openGauss的相关理论| openGauss社区
浅谈关于openGauss的相关理论| openGauss社区
强化学习的10个现实应用
强化学习的10个现实应用
十五所高校学生同上一门课:朱松纯教授《蒙特卡洛方法》正式开讲 ...
十五所高校学生同上一门课:朱松纯教授《蒙特卡洛方法》正式开讲 ...
作者头像
作者头像
腾讯混元新模型即将发布
腾讯混元新模型即将发布
动图封面
动图封面
体检,不止是一纸报告| 华大基因让AI重塑精准医疗
体检,不止是一纸报告| 华大基因让AI重塑精准医疗
侧边栏图片
侧边栏图片
凯发官方入口游戏攻略大全,助你提升技巧轻松赢取每一场比赛胜利 ...
凯发官方入口游戏攻略大全,助你提升技巧轻松赢取每一场比赛胜利 ...
在这里插入图片描述
在这里插入图片描述
协同智能新范式:一场关于AI时代人机共生的深度探索_Dtalk
协同智能新范式:一场关于AI时代人机共生的深度探索_Dtalk
书海遨游强化学习高清图片
书海遨游强化学习高清图片
BytokenAI - 助您从容把握每一个最佳投资瞬间
BytokenAI - 助您从容把握每一个最佳投资瞬间
选择并执行操作
选择并执行操作
在这里插入图片描述
在这里插入图片描述
签到新秀
签到新秀
动图封面
动图封面
强化学习算法的分类
强化学习算法的分类
在这里插入图片描述
在这里插入图片描述
强化学习在游戏领域应用最多
强化学习在游戏领域应用最多
请添加图片描述
请添加图片描述
在这里插入图片描述
在这里插入图片描述
在这里插入图片描述
在这里插入图片描述
在这里插入图片描述
在这里插入图片描述
石头, 推, 克服, 障碍, 自然, 岩石, 巨石, 强的, 坡, 上坡, 山
石头, 推, 克服, 障碍, 自然, 岩石, 巨石, 强的, 坡, 上坡, 山
在这里插入图片描述
在这里插入图片描述
强化学习的10个现实应用
强化学习的10个现实应用
强化学习机器人领域的应用
强化学习机器人领域的应用
AI 智能体:应用前景与对算力需求的影响
AI 智能体:应用前景与对算力需求的影响
原力新人
原力新人
在这里插入图片描述
在这里插入图片描述
动图封面
动图封面
在这里插入图片描述
在这里插入图片描述
动图封面
动图封面
不浪漫雷达
不浪漫雷达
极客望远镜
极客望远镜
孙元宝儿
孙元宝儿
攻城狮子
攻城狮子
动图封面
动图封面
动图封面
动图封面
分享学徒
分享学徒
李牧非
李牧非
在这里插入图片描述
在这里插入图片描述
强化学习经典教材及课程推荐
强化学习经典教材及课程推荐
强化学习游戏领域的应用
强化学习游戏领域的应用
智能建造小硕
智能建造小硕
种花家的龙哥
种花家的龙哥
强化学习的10个现实应用
强化学习的10个现实应用
Voila:开创真实自主交互与声音角色扮演新时代的声音-语言基础模型
Voila:开创真实自主交互与声音角色扮演新时代的声音-语言基础模型
李牧非
李牧非
图3 推荐系统与用户交互示意图
图3 推荐系统与用户交互示意图
基于策略VS基于价值
基于策略VS基于价值
李牧非
李牧非
分享小兵
分享小兵
请添加图片描述
请添加图片描述
李牧非
李牧非
强化学习的10个现实应用
强化学习的10个现实应用
在这里插入图片描述
在这里插入图片描述
动图封面
动图封面
机智流
机智流
在这里插入图片描述
在这里插入图片描述
在这里插入图片描述
在这里插入图片描述
在这里插入图片描述
在这里插入图片描述
动图封面
动图封面
阳光明媚
阳光明媚
在这里插入图片描述
在这里插入图片描述
Datawhale是一个专注AI领域的开源组织,以“for the learner,和学习者一起成长”为愿景,构建对学习者最有价值的开源学习社区。关注我们,一起学习成长。
Datawhale是一个专注AI领域的开源组织,以“for the learner,和学习者一起成长”为愿景,构建对学习者最有价值的开源学习社区。关注我们,一起学习成长。
在这里插入图片描述
在这里插入图片描述
强化学习的图片
强化学习的图片
在这里插入图片描述
在这里插入图片描述
在这里插入图片描述
在这里插入图片描述
在这里插入图片描述
在这里插入图片描述
在这里插入图片描述
在这里插入图片描述
快手科技重磅突破:AI语言模型训练的"权重平衡术"让机器学习更聪明
快手科技重磅突破:AI语言模型训练的"权重平衡术"让机器学习更聪明
在这里插入图片描述
在这里插入图片描述
在这里插入图片描述
在这里插入图片描述
在这里插入图片描述
在这里插入图片描述
在这里插入图片描述
在这里插入图片描述
强化学习的10个现实应用
强化学习的10个现实应用
在这里插入图片描述
在这里插入图片描述
在这里插入图片描述
在这里插入图片描述
在这里插入图片描述
在这里插入图片描述
在这里插入图片描述
在这里插入图片描述
在这里插入图片描述
在这里插入图片描述
强化学习的10个现实应用
强化学习的10个现实应用
在这里插入图片描述
在这里插入图片描述
在这里插入图片描述
在这里插入图片描述
在这里插入图片描述
在这里插入图片描述
动图封面
动图封面
在这里插入图片描述
在这里插入图片描述
扫码关注腾讯云开发者
扫码关注腾讯云开发者
在这里插入图片描述
在这里插入图片描述
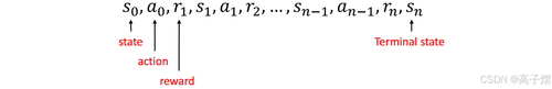
累积回报
累积回报
在这里插入图片描述
在这里插入图片描述
在这里插入图片描述
在这里插入图片描述
动图封面
动图封面
在这里插入图片描述
在这里插入图片描述
在这里插入图片描述
在这里插入图片描述
矢量书本组合高清图片
矢量书本组合高清图片
在这里插入图片描述
在这里插入图片描述
在这里插入图片描述
在这里插入图片描述