圆周率已算至62.8万亿位!为何要算这么多?若能算尽,会发生啥?_几何_数学_时期

圆周率已算至62.8万亿位!为何要算这么多?若能算尽,会发生啥?_几何_数学_时期

分辨率 789×259
来源 www.sohu.com
引擎 bing images
原网页 查看
当前页所有图片 (141)
PPT - 第十三章 实数全章复习 PowerPoint Presentation, free download - ID:3346796
PPT - 第十三章 实数全章复习 PowerPoint Presentation, free download - ID:3346796
yo vendo unos ojos negros_nat king cole_高音质
yo vendo unos ojos negros_nat king cole_高音质
【预订】route 66
【预订】route 66
Blue and Purple Gradient Background
Blue and Purple Gradient Background
尝试root funtouch os vivo官网社区
尝试root funtouch os vivo官网社区
Introductory Math | Radiology Key
Introductory Math | Radiology Key
活动 【hj花家】客制化机械键盘复活ca66圣熊猫更换sprint63.
活动 【hj花家】客制化机械键盘复活ca66圣熊猫更换sprint63.
步步高vivo Xplay3S root教程(一键root)
步步高vivo Xplay3S root教程(一键root)
Gray Scale Photography of Turntable
Gray Scale Photography of Turntable
三星g920l root教程 三星g920l获取root权限的方法
三星g920l root教程 三星g920l获取root权限的方法
竞赛计算题,学霸也做错的题,竟然如此简单! - YouTube
竞赛计算题,学霸也做错的题,竟然如此简单! - YouTube
【方块男孩】ac67 alice 打字音视频
【方块男孩】ac67 alice 打字音视频
360ROOT超级root正版(1)
360ROOT超级root正版(1)
Used Matchsticks on White Background
Used Matchsticks on White Background
SIX SIX SIX 666 Steal a Brainrot 3D Model STL Multiparts No Support Fanart
SIX SIX SIX 666 Steal a Brainrot 3D Model STL Multiparts No Support Fanart
root权限如何开启
root权限如何开启
4- Square root-2 - YouTube
4- Square root-2 - YouTube
一千到两千价位root机推荐
一千到两千价位root机推荐
从route66使用的故障及解决说起
从route66使用的故障及解决说起
White and Gray Checkered Textile
White and Gray Checkered Textile
67
67
root explorer
root explorer
Operations with Square Roots
Operations with Square Roots
oppo k7x root成功 - 抖音
oppo k7x root成功 - 抖音
ROOT精灵免费版
ROOT精灵免费版
A Light Color Gradient
A Light Color Gradient
RAAAHHRRRRRR
RAAAHHRRRRRR
为什么我这手机不能root
为什么我这手机不能root
数学笔记(数值运算、迭代、数论相关) - 知乎
数学笔记(数值运算、迭代、数论相关) - 知乎
脱胎换骨,这把黑爵ak966机械键盘真可以
脱胎换骨,这把黑爵ak966机械键盘真可以
oirbo-20470637.60《the fabled woods》-8037067.
oirbo-20470637.60《the fabled woods》-8037067.
Brown Wooden Board
Brown Wooden Board
幸运破解器免root版中文版 幸运破解器免root版下载 v10.6.5安卓版
幸运破解器免root版中文版 幸运破解器免root版下载 v10.6.5安卓版
实数的框架图,实数图,实数概念图_大山谷图库
实数的框架图,实数图,实数概念图_大山谷图库
humax666tokyoexplicit
humax666tokyoexplicit
hot toys mms669d49 robocop 3 - robocop
hot toys mms669d49 robocop 3 - robocop
Red and Black NO Text
Red and Black NO Text
Icon <3
Icon <3
华为荣耀6 plus root教程 荣耀6 plus获取root权限的方法
华为荣耀6 plus root教程 荣耀6 plus获取root权限的方法
Mathematica——万物皆理 - 知乎
Mathematica——万物皆理 - 知乎
[666][666][666] 1周前·黑龙江 0 分享 回复 62-年虎.姓王虎中王. .
[666][666][666] 1周前·黑龙江 0 分享 回复 62-年虎.姓王虎中王. .
coxo waterproof smart ip68 remote control 18w 5050
coxo waterproof smart ip68 remote control 18w 5050
An Apartment Building during the Golden Hour
An Apartment Building during the Golden Hour
开启安卓手机该神功能,流畅度瞬间增加6倍
开启安卓手机该神功能,流畅度瞬间增加6倍
probability - Looking for an algebraic number with a balanced sequence ...
probability - Looking for an algebraic number with a balanced sequence ...
最强root神器magisk manager版v6.1.0 安卓版
最强root神器magisk manager版v6.1.0 安卓版
[root@hao-001 ~]#rsync -av/etc/passwdroot@192.168.
[root@hao-001 ~]#rsync -av/etc/passwdroot@192.168.
Person Holding Match Stick With Fire in Front of Candle With Fire
Person Holding Match Stick With Fire in Front of Candle With Fire
White 666 Sticker
White 666 Sticker
联想a850刷机包 s128原厂卡刷包 完整root权限 毒蛇音效 官方超越第一版
联想a850刷机包 s128原厂卡刷包 完整root权限 毒蛇音效 官方超越第一版
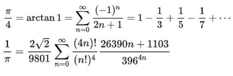
圆周率已算至62.8万亿位!为何要算这么多?若能算尽,会发生啥?_几何_数学_时期
圆周率已算至62.8万亿位!为何要算这么多?若能算尽,会发生啥?_几何_数学_时期
「电吉他」狂乱 hey kids!-raise a suilen cover(野良神 aragoto op)
「电吉他」狂乱 hey kids!-raise a suilen cover(野良神 aragoto op)
Vodafone Idea narrows Q3 losses to ₹6,986 crore, adds over 4 million 4G subscribers
Vodafone Idea narrows Q3 losses to ₹6,986 crore, adds over 4 million 4G subscribers
Grayscale Photography of Playing Cards Placed on Cloth
Grayscale Photography of Playing Cards Placed on Cloth
GET AWAY
GET AWAY
手机root权限软件排行榜 手机最好的root工具2020
手机root权限软件排行榜 手机最好的root工具2020
给工程师们讲量子计算(12):量子门与量子电路(part1) - 知乎
给工程师们讲量子计算(12):量子门与量子电路(part1) - 知乎
Photo of 30 Neon Signage
Photo of 30 Neon Signage
guest666 fanart
guest666 fanart
我手机root之后,有时候关屏然后就开不了了,要按开机键十秒强制重启才行,而且到了桌面发现手机是飞
我手机root之后,有时候关屏然后就开不了了,要按开机键十秒强制重启才行,而且到了桌面发现手机是飞
教育与交流 - 来自wikiHow的指南
教育与交流 - 来自wikiHow的指南
Multi-colored Building
Multi-colored Building
666
666
有什么英语文章阅读app吗
有什么英语文章阅读app吗
Using a scientific calculator: 6.1 …
Using a scientific calculator: 6.1 …
Brown Illustration
Brown Illustration
root权限下载
root权限下载
java666跑路【it资源吧】_ …
java666跑路【it资源吧】_ …
1+1=3
1+1=3
SCP-067
SCP-067
root权限获取
root权限获取
Square Root Code in Java : Simple Gui with Example | Java Hungry
Square Root Code in Java : Simple Gui with Example | Java Hungry
White Smoke of a Space Craft
White Smoke of a Space Craft
我手机root后,下载了4个录屏软件都不能用,我已经允许他们root了,有一个软件是这样的,见图,
我手机root后,下载了4个录屏软件都不能用,我已经允许他们root了,有一个软件是这样的,见图,
Squares, Cubes and Beyond
Squares, Cubes and Beyond
Green and Brown Floral Illustration
Green and Brown Floral Illustration
666 Is a Sacred Code of the Melanated Body
666 Is a Sacred Code of the Melanated Body
htc g3 root权限获取步骤
htc g3 root权限获取步骤
Triangle3DTo2D | Wolfram Function Repository
Triangle3DTo2D | Wolfram Function Repository
Brown and Grey Wall Brick
Brown and Grey Wall Brick
android 平板root, 免root即能修改android id,实现手机平板共用一个line不互踢...
android 平板root, 免root即能修改android id,实现手机平板共用一个line不互踢...
图形评审技术(GERT)与计划评审技术(PERT)_组建pert的基本要求,除外()-CSDN博客
图形评审技术(GERT)与计划评审技术(PERT)_组建pert的基本要求,除外()-CSDN博客
A Yellow Color Gradient
A Yellow Color Gradient
666
666
怎么获得root权限 root的优缺点完美教程
怎么获得root权限 root的优缺点完美教程
College Algebra Tutorial 31
College Algebra Tutorial 31
Assorted-color Spoon Lot in Water
Assorted-color Spoon Lot in Water
如何刷机来root阿里云os
如何刷机来root阿里云os
常规问题 | 标准科学计算器 | 计算器 | CASIO
常规问题 | 标准科学计算器 | 计算器 | CASIO
Green Fidget Spinner
Green Fidget Spinner
google pixel 解锁bl 刷入twrp magisk root 安装 xposed
google pixel 解锁bl 刷入twrp magisk root 安装 xposed
Chapter 3 - Theories: Wha…
Chapter 3 - Theories: Wha…
root有什么用呢
root有什么用呢
第一章 有理数知识点题库_ …
第一章 有理数知识点题库_ …
正版kingroot软件下载 kingroot官网版最新下载v5.4.0 乐单机
正版kingroot软件下载 kingroot官网版最新下载v5.4.0 乐单机
素数计数与筛法优化-CSDN …
素数计数与筛法优化-CSDN …
ubuntu root 如何直接通过root用户登录进入桌面
ubuntu root 如何直接通过root用户登录进入桌面
Graphing Square Root a…
Graphing Square Root a…
魅族手机如何root,如何解除root
魅族手机如何root,如何解除root
C#LeetCode刷题之#69-x 的 …
C#LeetCode刷题之#69-x 的 …
帮你快速获取root权限 一键root工具集合
帮你快速获取root权限 一键root工具集合
2016年高考真题 理科数学 ( …
2016年高考真题 理科数学 ( …
索尼xl39h获取root权限教程
索尼xl39h获取root权限教程
第14周数学周考题_word文 …
第14周数学周考题_word文 …
手机不知道怎么就root了 用应用宝去除root 应用宝显示没有root
手机不知道怎么就root了 用应用宝去除root 应用宝显示没有root
676是哪个数的平方-百度经验
676是哪个数的平方-百度经验
一键获取root权限 android版 v1.2 安卓软件下载 android.gamedog.cn
一键获取root权限 android版 v1.2 安卓软件下载 android.gamedog.cn
Leetcode 69. Sqrt(x)及其扩展(有/无精度、二分法 …
Leetcode 69. Sqrt(x)及其扩展(有/无精度、二分法 …
手机无法root怎么办
手机无法root怎么办
三种sqrt函数实现_sqrt的实现-CS…
三种sqrt函数实现_sqrt的实现-CS…
超级root大师电脑版 超级root大师pc版下载 1.8.2 跑跑车软件下载
超级root大师电脑版 超级root大师pc版下载 1.8.2 跑跑车软件下载
Sixth Root Of X Graph, Plot, Numb…
Sixth Root Of X Graph, Plot, Numb…
root
root
01计组课后习题:计算机系统 …
01计组课后习题:计算机系统 …
sony lt26i xperia s root教程
sony lt26i xperia s root教程
1-07 Transformations of Functions
1-07 Transformations of Functions
手机如何获取root
手机如何获取root
用快速电子验正相对论效应_…
用快速电子验正相对论效应_…
中兴努比亚z7mini nx507j 手机一键root教程
中兴努比亚z7mini nx507j 手机一键root教程
Animation of an ancient algorithm for computing squ…
Animation of an ancient algorithm for computing squ…
索爱mt15i获取root权限的详细教程
索爱mt15i获取root权限的详细教程
miui8获取root权限方法
miui8获取root权限方法
xda再次立功 摩托罗拉droid 2成功root
xda再次立功 摩托罗拉droid 2成功root
kingroot破解版 kingroot安卓破解版下载 v5.3.6 3322软件站
kingroot破解版 kingroot安卓破解版下载 v5.3.6 3322软件站
安卓系统root失败原因分析及解决方法
安卓系统root失败原因分析及解决方法
android的root教程
android的root教程
暂未上线 完美root安卓版下载 完美root安卓版官方下载 pc下载网
暂未上线 完美root安卓版下载 完美root安卓版官方下载 pc下载网
vcsa6.7重置root密码
vcsa6.7重置root密码
lg g3 root权限获取教程
lg g3 root权限获取教程
破解傻瓜化 多款android手机可一键root
破解傻瓜化 多款android手机可一键root
gg修改器免root版下载 gg修改器无需root权限版 v411.41.41中文版
gg修改器免root版下载 gg修改器无需root权限版 v411.41.41中文版
手机一直root不起
手机一直root不起
root失败咋办啊,试过好多软件了,
root失败咋办啊,试过好多软件了,
root卸载器修正汉化专业版 root uninstaller pro root卸载器修正汉化专业版 root uninstaller pro安卓版下载
root卸载器修正汉化专业版 root uninstaller pro root卸载器修正汉化专业版 root uninstaller pro安卓版下载