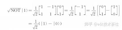
给工程师们讲量子计算(12):量子门与量子电路(part1) - 知乎

给工程师们讲量子计算(12):量子门与量子电路(part1) - 知乎

分辨率 414×103
来源 zhuanlan.zhihu.com
引擎 bing images
原网页 查看
当前页所有图片 (141)
4- Square root-2 - YouTube
4- Square root-2 - YouTube
yo vendo unos ojos negros_nat king cole_高音质在线试听_yo vendo
yo vendo unos ojos negros_nat king cole_高音质在线试听_yo vendo
【预订】route 66
【预订】route 66
666
666
尝试root funtouch os vivo官网社区
尝试root funtouch os vivo官网社区
Close Up Photography of Red Petaled Flower
Close Up Photography of Red Petaled Flower
Introductory Math | Radiology Key
Introductory Math | Radiology Key
活动 【hj花家】客制化机械键盘复活ca66圣熊猫更换sprint63.5g弹簧
活动 【hj花家】客制化机械键盘复活ca66圣熊猫更换sprint63.5g弹簧
步步高vivo Xplay3S root教程(一键root)
步步高vivo Xplay3S root教程(一键root)
三星g920l root教程 三星g920l获取root权限的方法
三星g920l root教程 三星g920l获取root权限的方法
Blue and Purple Gradient Background
Blue and Purple Gradient Background
Square Root Code in Java : Simple Gui with Example | Java Hungry
Square Root Code in Java : Simple Gui with Example | Java Hungry
【方块男孩】ac67 alice 打字音视频
【方块男孩】ac67 alice 打字音视频
360ROOT超级root正版(1)
360ROOT超级root正版(1)
root权限如何开启
root权限如何开启
Green Printed Door Building
Green Printed Door Building
java666跑路【it资源吧】_ …
java666跑路【it资源吧】_ …
一千到两千价位root机推荐
一千到两千价位root机推荐
从route66使用的故障及解决说起
从route66使用的故障及解决说起
SIX SIX SIX 666 Steal a Brainrot 3D Model STL Multiparts No Support Fanart
SIX SIX SIX 666 Steal a Brainrot 3D Model STL Multiparts No Support Fanart
root explorer
root explorer
Used Matchsticks on White Background
Used Matchsticks on White Background
Operations with Square Roots
Operations with Square Roots
脱胎换骨,这把黑爵ak966机械键盘真可以 - 知乎
脱胎换骨,这把黑爵ak966机械键盘真可以 - 知乎
ROOT精灵免费版
ROOT精灵免费版
67
67
为什么我这手机不能root
为什么我这手机不能root
A Light Color Gradient
A Light Color Gradient
Chapter 3 - Theories: Wha…
Chapter 3 - Theories: Wha…
宝儿的盲盒到了 - 抖音
宝儿的盲盒到了 - 抖音
oirbo-20470637.60《the fabled woods》-8037067.
oirbo-20470637.60《the fabled woods》-8037067.
g666 trud fanart by ME !!!
g666 trud fanart by ME !!!
幸运破解器免root版中文版 幸运破解器免root版下载 v10.6.5安卓版
幸运破解器免root版中文版 幸运破解器免root版下载 v10.6.5安卓版
White and Gray Checkered Textile
White and Gray Checkered Textile
Using a scientific calculator: 6.1 …
Using a scientific calculator: 6.1 …
tokyo (explicit)_humax 666_高音质在线试听_tokyo (explicit)歌词|
tokyo (explicit)_humax 666_高音质在线试听_tokyo (explicit)歌词|
hot toys mms669d49 robocop 3 - robocop
hot toys mms669d49 robocop 3 - robocop
RAAAHHRRRRRR
RAAAHHRRRRRR
华为荣耀6 plus root教程 荣耀6 plus获取root权限的方法
华为荣耀6 plus root教程 荣耀6 plus获取root权限的方法
Pink and Blue Gradient Background
Pink and Blue Gradient Background
素数计数与筛法优化-CSDN …
素数计数与筛法优化-CSDN …
面具最强root神器最新版下载-最强root神器magisk manager版v6.1.0 安
面具最强root神器最新版下载-最强root神器magisk manager版v6.1.0 安
coxo waterproof smart ip68 remote control 18w 5050
coxo waterproof smart ip68 remote control 18w 5050
sixty4gamer but getting tortured ❤️❤️
sixty4gamer but getting tortured ❤️❤️
开启安卓手机该神功能,流畅度瞬间增加6倍
开启安卓手机该神功能,流畅度瞬间增加6倍
A Light Color Gradient
A Light Color Gradient
数学笔记(数值运算、迭代、数论相关) - 知乎
数学笔记(数值运算、迭代、数论相关) - 知乎
oppo k7x root成功 - 抖音
oppo k7x root成功 - 抖音
[root@hao-001 ~]#rsync -av/etc/passwdroot@192.168.
[root@hao-001 ~]#rsync -av/etc/passwdroot@192.168.
uroboros x o9a
uroboros x o9a
联想a850刷机包 s128原厂卡刷包 完整root权限 毒蛇音效 官方超越第一版
联想a850刷机包 s128原厂卡刷包 完整root权限 毒蛇音效 官方超越第一版
Brown Wooden Board
Brown Wooden Board
Mathematica——万物皆理 - 知乎
Mathematica——万物皆理 - 知乎
「电吉他」狂乱 hey kids!!-raise a suilen cover(野良神 aragoto op
「电吉他」狂乱 hey kids!!-raise a suilen cover(野良神 aragoto op
Vodafone Idea narrows Q3 losses to ₹6,986 crore, adds over 4 million 4G subscribers
Vodafone Idea narrows Q3 losses to ₹6,986 crore, adds over 4 million 4G subscribers
Icon <3
Icon <3
手机root权限软件排行榜 手机最好的root工具2020
手机root权限软件排行榜 手机最好的root工具2020
Red and Black NO Text
Red and Black NO Text
给工程师们讲量子计算(12):量子门与量子电路(part1) - 知乎
给工程师们讲量子计算(12):量子门与量子电路(part1) - 知乎
我手机root之后,有时候关屏然后就开不了了,要按开机键十秒强制重启才行,而且到了桌面发现手机是飞
我手机root之后,有时候关屏然后就开不了了,要按开机键十秒强制重启才行,而且到了桌面发现手机是飞
An Apartment Building during the Golden Hour
An Apartment Building during the Golden Hour
竞赛计算题,学霸也做错的题,竟然如此简单! - YouTube
竞赛计算题,学霸也做错的题,竟然如此简单! - YouTube
有什么英语文章阅读app吗
有什么英语文章阅读app吗
Person Holding Match Stick With Fire in Front of Candle With Fire
Person Holding Match Stick With Fire in Front of Candle With Fire
Squares, Cubes and Beyond
Squares, Cubes and Beyond
White 666 Sticker
White 666 Sticker
root权限下载
root权限下载
Grayscale Photography of Playing Cards Placed on Cloth
Grayscale Photography of Playing Cards Placed on Cloth
301 Moved Permanently
301 Moved Permanently
666
666
root权限获取
root权限获取
Woman Doing Acrobat
Woman Doing Acrobat
Triangle3DTo2D | Wolfram Function Repository
Triangle3DTo2D | Wolfram Function Repository
GET AWAY
GET AWAY
我手机root后,下载了4个录屏软件都不能用,我已经允许他们root了,有一个软件是这样的,见图,
我手机root后,下载了4个录屏软件都不能用,我已经允许他们root了,有一个软件是这样的,见图,
A Pastel Colored Gradient
A Pastel Colored Gradient
图形评审技术(GERT)与计划评审技术(PERT)_组建pert的基本要求,除外()-CSDN博客
图形评审技术(GERT)与计划评审技术(PERT)_组建pert的基本要求,除外()-CSDN博客
guest666 fanart
guest666 fanart
htc g3 root权限获取步骤
htc g3 root权限获取步骤
Multi-colored Building
Multi-colored Building
圆周率已算至62.8万亿位!为何要算这么多?若能算尽,会发生啥?_几何_数学_时期
圆周率已算至62.8万亿位!为何要算这么多?若能算尽,会发生啥?_几何_数学_时期
666
666
android 平板root, 免root即能修改android id,实现手机平板共用一个line不互踢...
android 平板root, 免root即能修改android id,实现手机平板共用一个line不互踢...
Round Gold-colored 1 Coin
Round Gold-colored 1 Coin
College Algebra Tutorial 31
College Algebra Tutorial 31
怎么获得root权限 root的优缺点完美教程
怎么获得root权限 root的优缺点完美教程
1+1=3
1+1=3
C#LeetCode刷题之#69-x 的 …
C#LeetCode刷题之#69-x 的 …
如何刷机来root阿里云os
如何刷机来root阿里云os
White Smoke of a Space Craft
White Smoke of a Space Craft
常规问题 | 标准科学计算器 | 计算器 | CASIO
常规问题 | 标准科学计算器 | 计算器 | CASIO
google pixel 解锁bl 刷入twrp magisk root 安装 xposed
google pixel 解锁bl 刷入twrp magisk root 安装 xposed
Green and Brown Floral Illustration
Green and Brown Floral Illustration
教育与交流 - 来自wikiHow的指南
教育与交流 - 来自wikiHow的指南
root有什么用呢
root有什么用呢
实数的框架图,实数图,实数概念图_大山谷图库
实数的框架图,实数图,实数概念图_大山谷图库
正版kingroot软件下载 kingroot官网版最新下载v5.4.0 乐单机
正版kingroot软件下载 kingroot官网版最新下载v5.4.0 乐单机
第14周数学周考题_word文 …
第14周数学周考题_word文 …
ubuntu root 如何直接通过root用户登录进入桌面
ubuntu root 如何直接通过root用户登录进入桌面
PPT - 第十三章 实数全章复习 PowerPoint Presentation, free do…
PPT - 第十三章 实数全章复习 PowerPoint Presentation, free do…
魅族手机如何root,如何解除root
魅族手机如何root,如何解除root
第一章 有理数知识点题库_ …
第一章 有理数知识点题库_ …
帮你快速获取root权限 一键root工具集合
帮你快速获取root权限 一键root工具集合
Leetcode 69. Sqrt(x)及其扩展(有/无精 …
Leetcode 69. Sqrt(x)及其扩展(有/无精 …
索尼xl39h获取root权限教程
索尼xl39h获取root权限教程
Graphing Square Root a…
Graphing Square Root a…
手机不知道怎么就root了 用应用宝去除root 应用宝显示没有root
手机不知道怎么就root了 用应用宝去除root 应用宝显示没有root
2016年高考真题 理科数学 ( …
2016年高考真题 理科数学 ( …
一键获取root权限 android版 v1.2 安卓软件下载 android.gamedog.cn
一键获取root权限 android版 v1.2 安卓软件下载 android.gamedog.cn
676是哪个数的平方-百度经验
676是哪个数的平方-百度经验
手机无法root怎么办
手机无法root怎么办
三种sqrt函数实现_sqrt的实现-CS…
三种sqrt函数实现_sqrt的实现-CS…
超级root大师电脑版 超级root大师pc版下载 1.8.2 跑跑车软件下载
超级root大师电脑版 超级root大师pc版下载 1.8.2 跑跑车软件下载
probability - Looking for an algebraic number with a balanced sequence ...
probability - Looking for an algebraic number with a balanced sequence ...
root
root
Sixth Root Of X Graph, Plot, Numb…
Sixth Root Of X Graph, Plot, Numb…
sony lt26i xperia s root教程
sony lt26i xperia s root教程
01计组课后习题:计算机系统 …
01计组课后习题:计算机系统 …
手机如何获取root
手机如何获取root
1-07 Transformations of Functions
1-07 Transformations of Functions
中兴努比亚z7mini nx507j 手机一键root教程
中兴努比亚z7mini nx507j 手机一键root教程
用快速电子验正相对论效应_…
用快速电子验正相对论效应_…
索爱mt15i获取root权限的详细教程
索爱mt15i获取root权限的详细教程
miui8获取root权限方法
miui8获取root权限方法
xda再次立功 摩托罗拉droid 2成功root
xda再次立功 摩托罗拉droid 2成功root
kingroot破解版 kingroot安卓破解版下载 v5.3.6 3322软件站
kingroot破解版 kingroot安卓破解版下载 v5.3.6 3322软件站
安卓系统root失败原因分析及解决方法
安卓系统root失败原因分析及解决方法
android的root教程
android的root教程
暂未上线 完美root安卓版下载 完美root安卓版官方下载 pc下载网
暂未上线 完美root安卓版下载 完美root安卓版官方下载 pc下载网
vcsa6.7重置root密码
vcsa6.7重置root密码
lg g3 root权限获取教程
lg g3 root权限获取教程
破解傻瓜化 多款android手机可一键root
破解傻瓜化 多款android手机可一键root
gg修改器免root版下载 gg修改器无需root权限版 v411.41.41中文版
gg修改器免root版下载 gg修改器无需root权限版 v411.41.41中文版
手机一直root不起
手机一直root不起
root失败咋办啊,试过好多软件了,
root失败咋办啊,试过好多软件了,
root卸载器修正汉化专业版 root uninstaller pro root卸载器修正汉化专业版 root uninstaller pro安卓版下载
root卸载器修正汉化专业版 root uninstaller pro root卸载器修正汉化专业版 root uninstaller pro安卓版下载